Αναθεώρηση των αβεβαιοτήτων στην αρχέγονη πυρηνοσύνθεση

Οι πυρηνικές αντιδράσεις κατά τη διάρκεια της αρχέγονης πυρηνοσύνθεσης λίγα λεπτά μετά την Μεγάλη Έκρηξη
Η αρχέγονη πυρηνοσύνθεση ξεκίνησε ένα δευτερόλεπτο μετά την Μεγάλη Έκρηξη και είχε διάρκεια περίπου τριών λεπτών. Η πυρηνοσύνθεση της Μεγάλης Έκρηξης είναι το μοναδικό παράθυρο που μας αποκαλύπτει τις συνθήκες του νεογέννητου σύμπαντος, πριν από τον σχηματισμό των υπολειμμάτων της Κοσμικής Ακτινοβολίας Μικροκυμάτων. Τότε η θερμοκρασία ήταν κατάλληλη γα τον σχηματισμό των ελαφρών πυρήνων, όπως οι πυρήνες 2Η, 3He, 4He, και 7Li.
Μετά την μετροπή φάσης κουάρκ-αδρονίων, ο λόγος του αριθμού των νετρονίων προς τον αριθμό των πρωτονίων n/p βρισκόταν σε ισορροπία διαμέσου των ασθενών αλληλεπιδράσεών τους με ηλεκτρόνια, νετρίνα και τα αντισωματίδιά τους. Καθώς όμως έπεφτε η θερμοκρασία τα νετρίνα σταμάτησαν να συμμετέχουν στις αλληλεπιδράσεις και ο λόγος n/p έπαψε να βρίσκεται σε ισορροπία. Όταν η θερμοκρασία έπεσε κάτω από Τ=0,7 MeV (1 MeV~11,6∙109 K), o λόγος n/p πάγωσε στην τιμή ~1/6.
Στη συνέχεια, σχεδόν όλα τα νετρόνια ενσωματώθηκαν στους πυρήνες ηλίου. Οι λεπτομέρειες αυτής της διαδικασίας εξαρτώνται από τις ταχύτητες των πυρηνικών αντιδράσεων, τις πυκνότητες των βαρυονίων και την κοσμική διαστολή μέχρι να “παγώσουν” οι πυρηνικές αντιδράσεις. Επομένως οι τελικές αφθονίες των ελαφρών πυρήνων εξαρτώνται από τις κοσμολογικές παραμέτρους που καθορίζουν τις συνθήκες πραγματοποίησης των πυρηνικών αντιδράσεων.
Περίπου 100 δευτερόλεπτα μετά την Μεγάλη Έκρηξη η παραγωγή του δευτερίου κορυφώνεται. Ακολουθεί η παραγωγή των πυρήνων ηλίου, λιθίου και βηρυλλίου. Μετά από περίπου 3 λεπτά, το σύμπαν ψύχθηκε σε τέτοιο σημείο που οι πυρηνικές αντιδράσεις σταμάτησαν.
Συνεπώς οι αφθονίες των στοιχείων που σχηματίστηκαν εκείνη την περίοδο παραμένουν οι ίδιες μέχρι σήμερα (αρκεί να ληφθούν υπόψη οι αλλαγές που συνέβησαν κατά την εξέλιξη των άστρων και των γαλαξιών).
Οι πρωταρχικές ανεξάρτητες μεταβλητές στην θεωρία της αρχέγονης πυρηνοσύνθεσης είναι ο αριθμός των ειδών των ελαφρών νετρίνων Νν και ο λόγος η του αριθμού των βαρυονίων προς τον αριθμό των φωτονίων. Οι παρατηρήσεις του διαστημικού τηλεσκοπίου Planck περιόρισαν αρκετά την τιμή του η=(6,10±0,14)∙10-10. Αυτή η σταθερή τιμή επιτρέπει στην θεωρία της πυρηνοσύνθεσης της Μεγάλης Έκρηξης να ελέγχει κάθε προτεινόμενη εναλλακτική κοσμολογική θεωρία.
Συνεπώς η σημασία αρχέγονης πυρηνοσύνθεσης είναι τεράστια και γι αυτό απαιτείται λεπτομερής ανάλυση των αβεβαιοτήτων στις προβλεπόμενες αφθονίες των στοιχείων που υπολογίζονται σύμφωνα με αυτή (για να συγκριθούν στη συνέχεια με τις φασματοσκοπικές παρατηρήσεις των αστρονόμων).
Η πρόσφατη εργασία των Foley et al “Revised Uncertainties in Big Bang Nucleosynthesis” συνεισφέρει ακριβώς προς αυτή την κατεύθυνση. Ακολουθούν ένας πίνακας και δυο διαγράμματα που περιέχουν τα αποτελέσματα της εν λόγω δημοσίευσης.
Ο πίνακας συγκρίνει τους θεωρητικούς υπολογισμούς των περιεκτικοτήτων με τις τιμές που προκύπτουν από τις αστρονομικές παρατηρήσεις. Η συμφωνία θεωρίας-παρατήρησης είναι αξιοσημείωτη – εκτός από αυτή του 7Li όπου η θεωρητική τιμή είναι τριπλάσια της παρατηρούμενης – αλλά αυτό είναι το γνωστό επονομαζόμενο κοσμολογικό πρόβλημα του λιθίου:
Στο επόμενο διάγραμμα οι χρωματισμένες ζώνες δείχνουν τις περιεκτικότητες των πυρήνων που υπολογίζονται θεωρητικά ως συνάρτηση του λόγου βαρυονίων προς φωτόνια η. Οι οριζόντιες γραμμές δείχνουν το εύρος των περιεκτικοτήτων που δίνουν οι παρατηρήσεις, ενώ οι κάθετες γραμμές δείχνουν του εύρος της τιμή του η έτσι όπως καθόρισε η ανάλυση Planck.
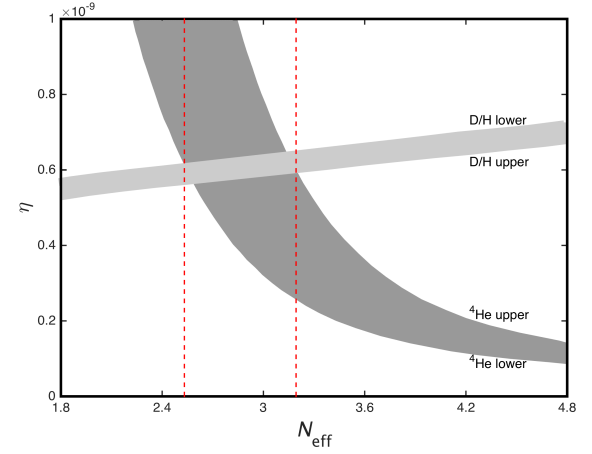
H αρχέγονη πυρηνοσύνθεση μπορεί να χρησιμοποιηθεί επίσης για τον «προσδιορισμό» του αριθμού των ειδών των νετρίνων Νeff . Αυτό δείχνει το επόμενο διάγραμμα σύμφωνα με το οποίο: 2,557 < Νeff <3,173, δηλαδή Νeff = 3:
Η εργασία των Foley et al βασίστηκε στις ανανεωμένες ταχύτητες των πυρηνικών αντιδράσεων και χρόνου ζωής του νετρονίου και μείωσε το εύρος των αβεβαιοτήτων στις υπολογιζόμενες αφθονίες των στοιχείων σε σύγκριση με προηγούμενες εργασίες. Η ασυμφωνία στη αφθονία του λιθίου εξακολουθεί να υπάρχει και προφανώς απαιτείται νέα φυσική για να εξομαλυνθεί.
Κατηγορίες:ΚΟΣΜΟΛΟΓΙΑ, ΠΥΡΗΝΙΚΗ ΑΣΤΡΟΦΥΣΙΚΗ, ΠΥΡΗΝΙΚΗ ΦΥΣΙΚΗ
Σχολιάστε