κίνηση και ακινησία
Κανείς δεν μπορεί ν’ αρνηθεί ότι η κλασική ή Νευτώνεια μηχανική όπως ονομάζεται, αποτελεί το θεμέλιο όλης της Φυσικής και καλύπτει μια πληθώρα φαινομένων που η μελέτη τους συμπίπτει με την περίοδο που ο Γαλιλαίος ξεκίνησε την επανάσταση, που οδήγησε στη σύγχρονη φυσική. Τα φαινόμενα αυτά συνοπτικά περιλαμβάνουν τις κινήσεις των «επίγειων» υλικών σωμάτων.
Ο Νεύτωνας επεξέτεινε τη δυνατότητα περιγραφής και στις κινήσεις των ουρανίων σωμάτων.
Η κατανόηση των νόμων της κίνησης του Νεύτωνα αποτελεί αναντίρρητα το πρώτο βήμα προς την κατανόηση της Φυσικής.
Αναμφισβήτητα ένα μεγάλο ποσοστό της δυσκολίας στην κατανόηση των σύγχρονων φυσικών θεωριών (σχετικότητα – κβαντομηχανική) οφείλεται στη συχνή παρερμηνεία της Νευτώνιας μηχανικής και ιδιαίτερα στην τάση που υποβόσκει στις αίθουσες διδασκαλίας ότι δήθεν οι νόμοι του Νεύτωνα είναι σχεδόν αυταπόδεικτοι και εκείνο που έχει σημασία είναι να ξέρουμε μόνο να τους χρησιμοποιούμε σωστά.
Αυτός ο τρόπος παρουσίασης είναι εμπόδιο στην πορεία για μια πραγματική και βαθιά κατανόηση της Φυσικής. Οφείλει αντίθετα κανείς να τονίζει συνεχώς τη δύναμη της φαντασίας που ήταν απαραίτητη για να διατυπωθούν αυτοί οι νόμοι και πόσο μακρύς και δύσβατος υπήρξε ο δρόμος που οδήγησε τη φυσική από την παρατήρηση των γεγονότων στους νόμους του Νεύτωνα.
Όσο περισσότερο αυταπόδεικτοι μας φαίνονται αυτοί οι νόμοι τόσο λιγότερο τους έχουμε καταλάβει.
……………………………………………
Το τεράστιο πειραματικό υλικό που είχε συσσωρευτεί και προπάντων την τεράστια θεωρητική και πειραματική συνεισφορά του Γαλιλαίου αποκρυστάλλωσε ο Νεύτωνας τους γνωστούς σε όλους μας τρεις νόμους ή αξιώματα της μηχανικής.
Με το επίτευγμά του αυτό ο Νεύτωνας επιβεβαίωσε με τον πιο πανηγυρικό τρόπο ότι με τη φυσική εδραιώνουμε και συστηματοποιούμε τη γνώση μας αναπτύσσοντας παράλληλα μια βαθύτερη κατανόηση ανάμεσα στα φαινόμενα. Στους τρεις αυτούς νόμους συμπυκνώνεται ο αγώνας και η αγωνία των φιλοσόφων από τον Αριστοτέλη μέχρι τον Νεύτωνα για τη βαθύτερη κατανόηση των σχέσεων ανάμεσα στις αλληλεπιδράσεις ενός σώματος με το περιβάλλον του και στις μεταβολές της κινητικής του κατάστασης.
Οι τρεις νόμοι του Νεύτωνα
Ι) Νόμος της Αδράνειας.
Κάθε σώμα διατηρεί την κατάσταση ηρεμίας ή ομαλής ευθύγραμμης κίνησης εκτός αν αναγκαστεί να τη μεταβάλλει από δυνάμεις που ασκούνται πάνω του.
ΙΙ) Θεμελιώδης νόμος της δυναμικής
ΙΙΙ) Δράση = αντίδραση
Πριν προχωρήσουμε σε κάποια συζήτηση πάνω σ’ αυτούς θα πρέπει ο καθένας μας να παραδεχθεί ότι, θάταν τουλάχιστον προσβλητικό για τους φυσικούς και φιλοσόφους από τον Αριστοτέλη μέχρι τον Νεύτωνα, συμπεριλαμβανομένων και του Γαλιλαίου και Κοπέρνικου, να ισχυριστούμε ότι τους έχουμε καταλάβει αμέσως όταν τους διδαχθήκαμε ή ακόμη περισσότερο ότι μπορέσαμε να τους καταστήσουμε κατανοητούς σ’ αυτούς που τους διδάξαμε….. Αλήθεια, πόσοι από μας, βλέποντας μια συναρπαστική σκηνή της ιλιγγιώδους καθόδου ενός σκιέρ στη χιονισμένη πλαγιά ενός βουνού, δεν πιάσαμε τον εαυτό μας να απαντά στην απορία ενός μικρού παιδιού, για το ποιος τον τραβά προς τα κάτω, λέγοντας η βαρύτητα.
Το πιο πάνω υποθετικό παράδειγμα αποτελεί την ένδειξη, στο βαθμό που συμβαίνει, της επιβίωσης της Αριστοτελικής σκέψης στον εικοστό αιώνα.
Ας κουβεντιάσουμε λοιπόν γύρω από τον πρώτο νόμο.
Το πρώτο που μπορούμε να πούμε είναι ότι έχει μεγάλη ιστορική σημασία γιατί καθορίζοντας τη «φυσική» κίνηση των απομονωμένων σωμάτων, επέβαλε την ανάγκη να ερμηνευθεί η «αφύσικη» κίνηση των πλανητών, σε πλήρη αντίθεση με τον Αριστοτέλη.
Θα μπορούσε ίσως πιο απλά να διατυπώσει κάποιος το πρώτο νόμο ως εξής:
«Ένα απομονωμένο σώμα κινείται με σταθερή ταχύτητα».
Αρχίζει όμως τώρα να ξεπροβάλλει μια πρώτη δυσκολία που στην αρχική διατύπωση ήταν μισοκρυμμένη.
Πότε θα θεωρούμε ένα σώμα ότι είναι απομονωμένο;
Ίσως κάποιος πολύ βιαστικός να απαντήσει: μετρώ την ταχύτητά του και διαπιστώνω ότι είναι σταθερή. Αυτό όμως είναι προφανώς λάθος γιατί στην ουσία είναι ένας λογικός κύκλος. Τι μπορώ να κάνω λοιπόν; Εφόσον όπως ξέρουμε η εμβέλεια των ηλεκτρικών και βαρυτικών δυνάμεων είναι άπειρη, δεν θα πρέπει να υπάρχει «απολύτως» απομονωμένο σώμα. Τι γίνεται λοιπόν με τον πρώτο νόμο; Απλούστατα όπως και σε πολλές άλλες περιπτώσεις ικανοποιούμαστε με μια «σχετική» αλήθεια.
Θα θεωρήσουμε λοιπόν στη συνέχεια σαν απομονωμένο σώμα που μέσα σε δεδομένα όρια ακρίβειας οι επιδράσεις που δέχεται από το περιβάλλον του μπορούν να θεωρηθούν αμελητέες.
Ένα, κατ’ αυτόν τον τρόπο ορισμένο, απομονωμένο σώμα, γι’ άλλους θα κινείται με σταθερή και γι’ άλλους με επιταχυνόμενη κίνηση. Συνεπώς υπάρχει μια κατηγορία παρατηρητών για τους οποίους τα απομονωμένα σώματα δεν επιταχύνονται.
Τα συστήματα αναφοράς αυτών των παρατηρητών ονομάζονται αδρανειακά. Ίσως το μόνο αυταπόδεικτο στον πρώτο νόμο είναι ότι η ευθύγραμμη κίνηση είναι η πιο απλή απ’ όσες θα μπορούσε να εκτελέσει ένα σώμα. Θα μπορούσαμε συνεπώς να πούμε ότι: αδρανειακά συστήματα αναφοράς είναι εκείνα όπου τα απομονωμένα σώματα κινούνται με τον απλούστερο δυνατό τρόπο (ευθύγραμμα ομαλά).
Ερχόμαστε τώρα σ’ ένα πολύ λεπτό ζήτημα στην αναζήτηση ενός αδρανειακού συστήματος. Η Γη μας, που για τόσους αιώνες τη θεωρούσαμε κέντρο του κόσμου, είναι άραγε αδρανειακό σύστημα; Προφανώς όχι, αφού επιταχύνεται (περιστροφή περί τον άξονά της και περιφορά περί τον Ήλιο (αΓ = 0,0027 m/s2).
Για τα φαινόμενα όμως που συμβαίνουν στη Γη π.χ. ελεύθερη πτώση κλπ και για τα οποία ισχύει α>> αΓ στα πλαίσια του ορισμού που δώσαμε μπορούμε να τη θεωρήσουμε σαν αδρανειακό σύστημα. Για τη μελέτη όμως της κίνησης του Άρη περί τον Ήλιο ((αΓ = 0,0027 m/s2) παύει η Γη να πληροί τις προϋποθέσεις ενός ανεκτού αδρανειακού συστήματος και γι αυτό επιλέγουμε τον Ήλιο σαν τέτοιο (αΗ = 2•10-10 m/s2).
Βλέπουμε δηλαδή ότι κάθε φορά επιλέγουμε σαν αδρανειακό σύστημα αναφοράς υπό την προϋπόθεση ότι η επιτάχυνσή του είναι αμελητέα σε σχέση με τις επιταχύνσεις που υπεισέρχονται στις παρατηρήσεις μας.
Στο σημείο αυτό είναι φυσικό να μας γεννηθεί η ακόλουθη απορία: εφόσον κάθε αδρανειακό σύστημα σε σχέση μ’ ένα επιταχυνόμενο, επιταχύνεται σε σχέση με την πέτρα που πέφτει, τι είναι εκείνο που δίνει ιδιάζουσα σημασία στα αδρανειακά συστήματα.
Ενώ δηλαδή με τον πρώτο νόμο δεν γίνεται διάκριση όσον αφορά την απόλυτη κίνηση μια και δεν ξεχωρίζει την κατάσταση της ακινησίας από αυτή της σταθερής κίνησης, για την απόλυτη επιτάχυνση γίνεται διάκριση. Τούτο το καταλαβαίνουμε καλύτερα, αν επανέλθουμε στο προηγούμενο παράδειγμα όπου μεταθέτοντας το αδρανειακό μας σύστημα από τη Γη στον Ήλιο και εν συνεχεία στο Γαλαξία προσεγγίζουμε όλο και περισσότερο το ιδανικό αδρανειακό σύστημα. Διαπιστώνουμε δηλαδή ότι η φύση προτιμά ένα σύστημα αναφοράς όπου όσο το δυνατόν λιγότερη μάζα να επιταχύνεται.
Φαίνεται δηλαδή ότι η φύση διαθέτει ένα προτιμητέο σύστημα αναφοράς που καθορίζεται από την κατανομή της κοσμικής ύλης και ενέργειας (Αρχή του Mach).
Ας έλθουμε τώρα στον δεύτερο νόμο του Νεύτων που όλοι τον έχουμε επανειλημμένα χρησιμοποιήσει μιας και βρίσκεται πίσω από τα περισσότερα προβλήματα της μηχανικής
Μια πιο προσεκτική όμως αντιπαράθεση του δεύτερου και του πρώτου νόμου του Νεύτων μας δημιουργεί την εντύπωση ότι ο πρώτος προκύπτει από τον δεύτερο
Τι συμβαίνει εδώ; Ανακαλύψαμε κάτι που δεν πρόσεξε ο Νεύτωνας; Γιατί αν ο πρώτος νόμος είναι πόρισμα του δεύτερου, για ποιο λόγο ο Νεύτωνας τον ανήγαγε σε πρώτο νόμο της μηχανικής; Ήτανε άραγε τόσο αφελής αυτός και τόσο έξυπνοι εμείς;
Μάλλον κάτι άλλο συμβαίνει, κι αυτό είναι ότι ο δεύτερος νόμος ισχύει εφόσον βρισκόμαστε σ’ ένα σύστημα αναφοράς αδρανειακό όπως ορίστηκε από τον πρώτο νόμο.
Θα μπορούσαμε κάπως μεταφορικά να πούμε ότι ο πρώτος νόμος καθορίζει το σκηνικό για να εξελιχθεί το δράμα (φαινόμενο) σύμφωνα με το δεύτερο νόμο.
Από τα μεγέθη που υπεισέρχονται στην έκφραση του δεύτερου νόμου, την επιτάχυνση μπορούμε να την ορίσουμε ανεξάρτητα από μετρήσεις του χώρου και του χρόνου, τη μάζα την ορίζουμε από τον ίδιο τον δεύτερο νόμο πειραματικά
mα=F/α
και αυτή είναι η αδρανειακή μάζα που εκφράζει ένα μέτρο της αντίστασης που παρουσιάζει ένα σώμα στην επιτάχυνση.
Μ’ άλλα λόγια η ιδιότητα που ονομάζουμε αδρανειακή μάζα δεν είναι παρά η εκδήλωση της αντίστασής του στην απομάκρυνσή του από το προτιμητέο αδρανειακό σύστημα αναφοράς της φύσης.
Τέλος μένει να ορίσουμε τη δύναμη. Προφανώς αυτή δεν μπορούμε να την ορίσουμε ως το γινόμενο της μάζας επί την επιτάχυνση γιατί τότε κάνουμε λογικό κύκλο. Χρειαζόμαστε μια έκφραση που να περιγράφει μ’ ένα ανεξάρτητο τρόπο την αλληλεπίδραση της μάζας m με το περιβάλλον της (δύναμη).
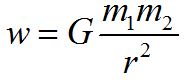
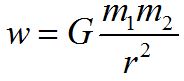
Στην περίπτωση της βαρύτητας αυτός είναι ο γνωστός νόμος της βαρύτητας του Νεύτωνα που τον διατύπωσε για να ερμηνεύσει με τη βοήθεια του δεύτερου νόμου τις κινήσεις των ουρανίων σωμάτων:

Πρέπει να παρατηρήσουμε ότι η μάζα που εμφανίζεται στο νόμο της βαρύτητας εκφράζει μια άλλη ιδιότητα των υλικών σωμάτων και δεν είναι εκ προοιμίου κατ’ ανάγκη ίδια με την αδρανειακή μάζα και ονομάζεται βαρυτική μάζα.
Στο σημείο αυτό γεννιέται αυθόρμητα ένα σοβαρό ερώτημα. Τα δυο είδη μαζών, η αδρανειακή και βαρυτική μάζα, που εκφράζουν τη συμπεριφορά των υλικών σωμάτων σε τελείως διαφορετικές φυσικές καταστάσεις (επιτάχυνση – βαρυτική αλληλεπίδραση), είναι ίδια κατά μέτρο;
Είναι προφανές, ότι όταν ισχυριζόμαστε ότι η επιτάχυνση με την οποία πέφτουν όλα τα σώματα στη Γη είναι ίση προς g, σιωπηρώς έχουμε ήδη κάνει την παραδοχή αυτής της ισότητα των μαζών αυθαίρετα.
Βέβαια δεν χρειάζεται ν’ ανησυχούμε και πολύ γιατί τα μέχρι τώρα πειράματα έχουν δείξει ότι η ισότητα των δυο μαζών ισχύει με ακρίβεια 1 προς 1013.
O Einstein όμως έλυσε αυτό το δύσκολο ερώτημα όπως ο Μέγας Αλέξανδρος το γόρδιο δεσμό. Έθεσε ως βάση της Γενικής Θεωρίας της Σχετικότητας το αξίωμα της ισοδυναμίας των δυο αυτών μαζών.
Ας έλθουμε τώρα στον τρίτο νόμο του Νεύτωνα: Αν δυο σώματα Α και Β αλληλεπιδρούν, η δύναμη που ασκείται από το Β στο Α είναι αντίθετη προς τη δύναμη που ασκείται από το Α στο Β
Ο νόμος αυτός δεν έχει να κάνει τίποτα με την κίνηση των σωμάτων, απλώς μας λέει ότι όλες οι δυνάμεις στη φύση εμφανίζονται κατά ζεύγη. Εκείνο που έχει σημασία να τονίσουμε στο σημείο αυτό είναι ότι οι δυνάμεις που απαρτίζουν αυτά τα ζεύγη δεν ασκούνται στο ίδιο σώμα.
Η μεγάλη όμως σημασία του τρίτου νόμου του Νεύτωνα έγκειται στο ότι και ο πρώτος και ο δεύτερος για να ισχύουν προϋποθέτουν τον τρίτο κι αυτό είναι κάτι που πρέπει να προσέξουμε ιδιαίτερα.
Πράγματι
Αφού ο τρίτος νόμος έχει τόσο μεγάλη σημασία λογικό είναι να αναρωτηθούμε αν ισχύει πάντοτε.
Ας θεωρήσουμε την ακόλουθη περίπτωση:
Τα σώματα m1 και m2 βρίσκονται στις θέσεις Α και Β τη χρονική στιγμή t1. Τη χρονική στιγμή t2 το σώμα m1 έχει μετατοπιστεί στη θέση Α’. Έστω ότι η ταχύτητα μετατόπισης του σώματος m1 είναι υ και αυτή της μετάδοσης της αλληλεπίδρασης είναι c (πεπερασμένη). Προφανώς αν
(Α’Β)/c > t2 – t1 = Δt
θα υπάρχει ένα χρονικό διάστημα στο οποίο δεν θα «ισχύει» ο τρίτος νόμος.
Η πιο πάνω παρατήρηση είναι άμεση συνέπεια της γενικά αποδεκτής άποψης σήμερα ότι η οι δυνάμεις δεν είναι παρά οι εκδηλώσεις της αλληλεπίδρασης των σωμάτων μεταξύ τους.
Μετά δε την αποδοχή από όλους του βασικού αξιώματος της ειδικής θεωρίας της σχετικότητας, ότι η ταχύτητα του φωτός στο κενό είναι το αξεπέραστο όριο για τη διάδοση οποιασδήποτε διαταραχής (πληροφορίας), φαίνεται εύκολα ότι μπορούν να υπάρξουν περιπτώσεις όπου ο τρίτος νόμος δεν ισχύει.
Ακόμη και σήμερα ξέρουμε ότι οι δυο κλασικές οντότητες, το πεδίο και τα σωμάτια, συνθέτουν μια και μοναδική πραγματικότητα που εκδηλώνεται με ποικίλους τρόπους φανερώνοντας την ανεπάρκεια της αντίληψης που χώριζε την ύλη και το πεδίο, θεωρώντας το τελευταίο σαν μη υλική οντότητα.
Έτσι σήμερα, που η έννοια του πεδίου, που οι ιδιομορφίες του συνιστούν τα διάφορα σωμάτια, έχει επιβληθεί, μπορούμε να πούμε ότι η κίνηση αποτελεί ταυτόχρονα και το αποτέλεσμα αλλά και την αιτία όλων των φυσικών αλληλεπιδράσεων.
Στο σημείο ίσως αυτό αξίζει να παρατηρήσουμε ότι ο κλασικός διαχωρισμός της φυσικής σε δυναμική και κινηματική, όπου εξετάζονται κινήσεις των υλικών σωμάτων εντελώς ξεκομμένα από αυτή την ίδια τη φύση τους οφείλεται καθαρά σε ιστορικούς λόγους και στην «αδράνεια» που υπάρχει στην αφομοίωση και μετάδοση της νέας πραγματικότητας όπως αυτή διαμορφώθηκε μετά την πλήρη ανάπτυξη της κβαντικής ηλεκτροδυναμικής και της θεωρίας της σχετικότητας.
Ιδιαίτερα η τελευταία με την κατάργηση των εννοιών του απόλυτου χώρου και χρόνου και με τη σύνδεση των εννοιών αυτών με την κινητική κατάσταση του υλικού αντικειμένου, προπάντων δε με τη συσχέτιση της μάζας με την ταχύτητα αφενός και με την ενέργεια αφετέρου, επέφερε τέτοια ριζική ανακατάταξη των σχέσεων ανάμεσα στις έννοιες αυτές ώστε να δυσκολεύεται κανείς να τις ξεχωρίσει.
Θα μπορούσαμε να πούμε ότι, στη Νευτώνεια φυσική ο χώρος είναι η «σκηνή» όπου τα φυσικά φαινόμενα εξελίσσονται καθώς ο απόλυτος χρόνος κυλά ανεπηρέαστος και στην ειδική θεωρία της σχετικότητας του Εinstein παρά το γεγονός ότι ο χώρος και ο χρόνος αναμιγνύονται, παραμένουν όμως το «φόντο» όπου τα φυσικά φαινόμενα εξελίσσονται. Τη μεγάλη ενοποίηση όμως των εννοιών του χώρου και του χρόνου και συνεπώς της κίνησης με αυτή την ίδια την οντότητα των φυσικών φαινομένων την επέφερε η Γενική Θεωρία της Σχετικότητας όπου ο χωρόχρονος παύει πλέον να είναι ο «καμβάς» όπου επάνω του η εξέλιξη των φυσικών φαινομένων απεικονίζεται με κοσμικές γραμμές, αλλά γίνεται ο ίδιος ενεργό στοιχείο της εξέλιξης, καθόσον οι τοπικές του ανωμαλίες συνιστούν τα φαινόμενα (τουλάχιστον της βαρύτητας).
Αρχίζουμε τώρα να ξεδιαλύνουμε το «μυστήριο» στις σχέσεις των εννοιών ύλη και κίνηση, διαισθανόμαστε, ότι το αναμφισβήτητο χαρακτηριστικό της ύλης είναι η έκτασή της στο χώρο και στο χρόνο. Την ιδέα μας αυτή έρχεται να την επιβεβαιώσει αναπάντεχα μια άλλη σπουδαία σύγχρονη αντίληψη, η αρχή της Απροσδιοριστίας του Heisenberg:

Αν και κάποιος με ιδεαλιστική προδιάθεση θα επιζητούσε να την ερμηνεύσει σαν την οριοθέτηση της γνώμης που μπορούμε να έχουμε, εν τούτοις κάποιος άλλος θα μπορούσε να δει σ’ αυτήν ότι αντανακλά την άποψη ότι όλη η ύλη δεν νοείται απογυμνωμένη από την ιδιότητα της έκτασης στο χώρο και στο χρόνο. Ο μηδενισμός του χώρου (Δx=0) οδηγεί στο ανόητο συμπέρασμα ότι έχουμε άπειρη ορμή και ομοίως ο μηδενισμός της χρονικής διάρκειας (Δt=0) στο εξίσου ανόητο συμπέρασμα ότι έχουμε άπειρη ενέργεια.
Συνεπώς η ύλη είναι χωροχρονική έκταση προικισμένη με ιδιαίτερες γεωμετρικές ιδιότητες και η κίνηση είναι οι προνομιούχες κατευθύνσεις αυτής της έκτασης σύμφωνα με τη Γενική Θεωρία της Σχετικότητας. Στο σημείο αυτό αξίζει να σταθούμε για λίγο πάνω στο θέμα της δυικής φύσης των σωματιδίων (σωμάτιο – κύμα) και να σκεφτούμεσε πιο βαθμό αντανακλά τις προηγούμενες σκέψεις.
Καταλήγοντας μπορούμε να πούμε ότι η κίνηση είναι συνυφασμένη αναπόσπαστα με την ύλη. Ακόμη και στο απόλυτο μηδέν, στη θερμοκρασία του θερμικού «θανάτου» της κλασικής φυσικής η κίνηση δεν εξαφανίζεται.
Π. Σκούντζος
απόσπασμα από το άρθρο: «κίνηση και ακινησία», περιοδικό «Φυσικός Κόσμος», τεύχος 101, 1985 (;)
Aκολουθούν 3 βίντεο από το διάστημα σχετικά με τους νόμους του Νεύτωνα …
1oς νόμος Newton
2oς νόμος Newton
3ος νόμος Newton


Πολύ καλό, έπρεπε να ξεκαθαριστούν οι έννοιες.
http://cudl.lib.cam.ac.uk/view/MS-ADD-03996/9
ο νοών νοείτω??????