Οι φυσικοί αριθμοί (με εξαίρεση τον αριθμό 1) είναι είτε πρώτοι είτε σύνθετοι.
Πρώτοι αριθμοί είναι αυτοί που διαιρούνται μόνο με τον εαυτό τους και τη μονάδα. Τέτοιοι αριθμοί είναι οι: 2, 3, 5, 7, 11, 13, 17, 19, 23, ………
Οι υπόλοιποι αριθμοί που ονομάζονται σύνθετοι μπορούν να εκφραστούν με έναν και μοναδικό τρόπο, ως γινόμενο πρώτων αριθμών. Για παράδειγμα ο αριθμός 30 γράφεται 12=2x3x5.
Κατά συνέπεια οι πρώτοι αριθμοί «γεννούν» όλους τους φυσικούς αριθμούς.
Άραγε υπάρχει κάποιος μαθηματικός τύπος που να υπολογίζει τους πρώτους αριθμούς;
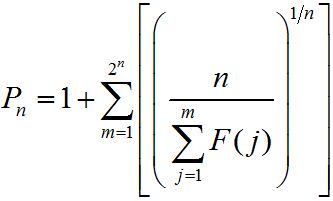
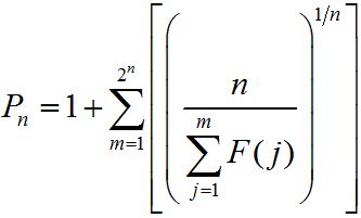
Για να βρούμε π.χ. τον 5ο κατά σειρά άρτιο αριθμό χρησιμοποιούμε τον τύπο αn=2n για n=5 και παίρνουμε α5=10. Υπάρχει μια τέτοια σχέση (έστω και πολυπλοκότερη) που αν θέλαμε να βρούμε τον πέμπτο κατά σειρά πρώτο αριθμό να θέταμε στη σχέση αυτή την τιμή n=5 και να παίρναμε τον αριθμό 11 που είναι ο πέμπτος πρώτος αριθμός;
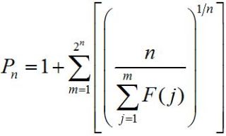
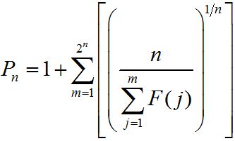
Λοιπόν, ένας τέτοιος τύπος υπάρχει – αλλά επειδή είναι περίπλοκος(;) τον αγνοούμε – και είναι ο εξής:
Για να κατανοηθεί η παραπάνω εξίσωση πρέπει …..
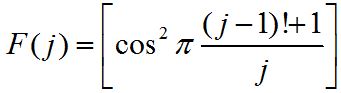
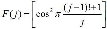
να κατανοήσουμε τη συνάρτηση F(j):
Καταρχήν οι αγκύλες [ ] εκφράζουν το ακέραιο μέρος του αριθμού που βρίσκεται μέσα σ’ αυτές. Για παράδειγμα [0,34]=0 ή [4,23]=4. Βέβαια δεδομένου ότι μέσα στις αγκύλες περιέχεται ένα συνημίτονο υψωμένο στο τετράγωνο, αυτό σημαίνει ότι το αποτέλεσμα θα είναι ή 0 ή 1.
Αυτή η συνάρτηση γνωρίζει πότε ο αριθμός j είναι πρώτος και πότε όχι. Όταν παίρνει την τιμή 1, τότε ο αριθμός j είναι πρώτος, όταν παίρνει την τιμή j=0 είναι σύνθετος. Για παράδειγμα αν θέσουμε j=3 – που είναι πρώτος αριθμός – παίρνουμε
ενώ για j=4
H λειτουργία της παραπάνω συνάρτησης βασίζεται στο θεώρημα Wilson σύμφωνα με το οποίο, η έκφραση (j-1)!+1 διαιρείται ακριβώς με το j, μόνο όταν ο αριθμός j είναι πρώτος.
Τώρα λοιπόν μπορούμε να κατανοήσουμε την εξίσωση που υπολογίζει τον n-στο πρώτο αριθμό
Μόνο που είναι αρκετά δύσχρηστη. Για παράδειγμα αν αναζητούμε τον 121 κατά σειρά πρώτο αριθμό τότε το παραγοντικό (j-1)! = 120! είναι ένας πολύ μεγάλος αριθμός:
mathworld.wolfram.com – Calvin C. Clawson, «Μαθηματικά Μυστήρια», εκδόσεις Κέδρος
Κατηγορίες:ΜΑΘΗΜΑΤΙΚΑ


Σχολιάστε