Iσότοπα ονομάζονται τα χημικά στοιχεία που στον πυρήνα τους έχουν τον ίδιο αριθμό πρωτονίων (έχουν δηλαδή τον ίδιο ατομικό αριθμό), αλλά διαφορετικό αριθμό νετρονίων. Ονομάζονται έτσι γιατί τοποθετούνται στην ίδια θέση (τόπο) του Περιοδικού Πίνακα. Για παράδειγμα, το υδρογόνο διαθέτει τρία βασικά ισότοπα:
● το πρώτιο , που περιέχει μόνο ένα πρωτόνιο στον πυρήνα του,
● το δευτέριο ο πυρήνας του οποίου περιέχει ένα πρωτόνιο και ένα νετρόνιο και
● το τρίτιο , με ένα πρωτόνιο και δυο πρωτόνια στον πυρήνα του.
Το δευτέριο (συμβολίζεται και με D) είναι μαζί με το πρώτιο είναι τα δύο σταθερά ισότοπα του υδρογόνου. Η φυσική αφθονία του στους ωκεανούς της Γης είναι περίπου ένα άτομο δευτερίου ανά 6.420 άτομα κανονικού υδρογόνου (πρώτιο). Το δευτέριο αντιπροσωπεύει περίπου το 0,0156% του συνόλου του φυσικά υπάρχοντος υδρογόνου στους ωκεανούς, ενώ το πιο κοινό ισότοπο, το πρώτιο αντιπροσωπεύει μια αφθονία πάνω από 99,98%.
Όταν δυο δευτέρια ενωθούν με ένα άτομο οξυγόνου τότε σχηματίζουν ένα μόριο βαρέος ύδατος D2O. Το απλό νερό αποτελείται από ένα άτομο οξυγόνου ενωμένο με δύο κανονικά άτομα υδρογόνου (πρωτίου). Επειδή το άτομο του δευτέριου είναι πιο βαρύ από το πρώτιο, το βαρύ νερό (D2O) έχει περίπου 10% μεγαλύτερη πυκνότητα από το H2O – και γι’ αυτό ονομάζεται βαρύ. Κατά τα άλλα, οι φυσικές και χημικές ιδιότητες των δύο μορφών νερού είναι σχεδόν ίδιες.
Tεχνο-υπογραφές εξωγήινων πολιτισμών από πυρηνική σύντηξη
Οι εξωγήινοι πολιτισμοί καθώς ‘ανεβαίνουν’ στην κλίμακα την Kardashev (Καρντάσεφ) χρειάζονται όλο και περισσότερη ενέργεια. Όμως, τα ορυκτά καύσιμα είναι πεπερασμένα, oι εναλλακτικές μορφές ενέργειας (αιολική και ηλιακή) δεν είναι τόσο αποτελεσματικές όσο τα ορυκτά καύσιμα, ενώ η παραδοσιακή πυρηνική ενέργεια σχάσης δημιουργεί προβλήματα με τα απόβλητα. Έτσι, οποιοδήποτε προηγμένο εξωγήινο είδος θα μπορούσε κάλλιστα να στραφεί στην πυρηνική σύντηξη για τις συνεχώς αυξανόμενες ενεργειακές του ανάγκες (εκτός αν έχει ανακαλύψει ακόμα καλύτερες ενεργειακές διεργασίες που εμείς δεν γνωρίζουμε).
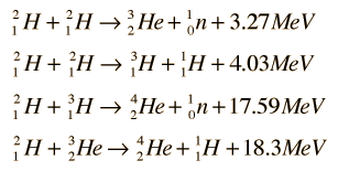
Η σύντηξη του δευτερίου (D) είναι μια από τις απλούστερες μορφές πυρηνικής σύντηξης, όπου το δευτέριο συντήκεται με τρίτιο ή άλλο δευτέριο. Αν οι εξωγήινοι χρησιμοποιούν δευτέριο για πυρηνική σύντηξη, θα μπορούσαν να το αντλούν από το βαρύ ύδωρ που περιέχεται στους ωκεανούς των πλανητών τους.
Η εξαγωγή του δευτερίου από έναν ωκεανό θα μείωνε την αναλογία δευτερίου-πρωτίου (D/1H) και στους υδρατμούς της ατμόσφαιρας, ενώ το ήλιο που παράγεται θα διαφεύγει στο διάστημα.
Θα μπορούσαν οι χαμηλές τιμές του D/1H στην ατμόσφαιρα ενός εξωπλανήτη να είναι τεχνο-υπογραφή μιάς μακρόβιας και εξαιρετικά προηγμένης εξωγήινης ζωής; Αυτό αναρωτιούνται οι ερευνητές David C. Catling, Joshua Krissansen-Totton και Tyler D. Robinson στην εργασία τους(2) που θα δημοσιευθεί στο περιοδικό Astrophysical Journal.
Βέβαια, η μέτρηση της αναλογίας D/1H σε υδρατμούς της ατμόσφαιρας των εξωπλανητών δεν είναι εύκολο πράγμα, αλλά δεν είναι και ακατόρθωτο. Ένα μεγάλο πλεονέκτημα όσον αφορά την αναζήτηση χαμηλών τιμών D/1H στην ατμόσφαιρα ενός εξωπλανήτη είναι ότι αυτές παραμένουν ακόμα κι αν ο προηγμένος πολιτισμός εξαφανιζόταν ή είχε μεταναστεύσει αλλού.
Στη Γη, όπου η ανθρωπότητα βρίσκεται επί του παρόντος στο 0,728 στην κλίμακα Kardashev, το φυσικό δευτέριο στον ωκεανό αντιπροσωπεύει περίπου ένα άτομο σε κάθε 6.240 άτομα πρωτίου
ή 35 γραμμάρια δευτερίου για κάθε τόνο θαλασσινού νερού. Αυτό αντιστοιχεί σε 4,85×1013 τόνους δευτερίου. Ο λόγος D/1H είναι σχεδόν ο ίδιος και στην ατμόσφαιρά μας.

Ο ερευνητές Catling et al θεωρώντας έναν εξωπλανήτη σαν τη Γη, στον οποίο κάποιος προηγμένος πολιτισμός χρησιμοποιεί την σύντηξη δευτερίου για παραγωγή ενέργειας και υπολόγισαν τον λόγο δευτερίου/πρωτίου συναρτήσεις του χρόνου. Βρήκαν ότι η αναλογία D/1H ότι θα μειωνόταν στην τιμή του αντίστοιχου λόγου που ανιχνεύεται στα διαστρικά νέφη, περίπου 16 μέρη ανά εκατομμύριο, σε σχεδόν 170 εκατομμύρια χρόνια. Αν λοιπόν η αναλογία D/H στους υδρατμούς ενός εξωπλανήτη βρεθεί να είναι σημαντικά κάτω από τις αντίστοιχες τιμές των διαστρικών νεφών, αυτό θα ήταν «ύποπτο» .
Άλλοι πλανήτες, όπως η Αφροδίτη και ο Άρης, έχουν υψηλότερες τιμές D/1H, αλλά διεργασίες όπως το φαινόμενο του θερμοκηπίου της Αφροδίτης και οι διαδικασίες φυσικής διαφυγής στον Άρη κάνουν και τους δύο πλανήτες ακατοίκητους. Έτσι, ένας μεγαλύτερος λόγος δευτερίου-πρωτίου από αυτόν της Γης, μάλλον δείχνει έναν πλανήτη προβληματικό ως προς την κατοικησιμότητα σε γεωλογικές χρονικές κλίμακες.
Οι υπολογισμοί των ερευνητών Catling et al δείχνουν ότι η αναζήτηση ασυνήθιστα χαμηλών τιμών της αναλογίας D/1H σε υδρατμούς στις ατμόσφαιρες εξωπλανητών, αποτελεί μια πιθανή ένδειξη εξωγήινου πολιτισμού, καταφέρνοντας τελικά να συνδέσουν «το βαρύ ύδωρ με τους εξωγήινους» .
διαβάστε περισσότερες λεπτομέρειες:
1. Στο εκλαϊκευμένο άρθρο του David Appell: «A technosignature that could detect an extraterrestrial civilization’s reliance on nuclear fusion» – https://phys.org/news/2024-12-technosignature-extraterrestrial-civilization-reliance-nuclear.html
2. Στο αναλυτικό άρθρο των Catling et al: «Potential technosignature from anomalously low deuterium/hydrogen (D/H) in planetary water depleted by nuclear fusion technology» – https://arxiv.org/abs/2411.18595
Κατηγορίες:ΑΣΤΡΟΒΙΟΛΟΓΙΑ, ΑΣΤΡΟΝΟΜΙΑ, ΑΣΤΡΟΦΥΣΙΚΗ, ΔΙΑΣΤΗΜΑ, ΕΞΩΓΗΙΝΗ ΖΩΗ, ΕΞΩΠΛΑΝΗΤΕΣ, ΠΥΡΗΝΙΚΗ ΦΥΣΙΚΗ, ΧΗΜΕΙΑ



Σχολιάστε