Όλα τα άτομα περιέχουν αντιύλη
Τα πιο γνωστα υποατομικά σωματίδια είναι το πρωτόνιο, το νετρόνιο και το ηλεκτρόνιο. Αυτά τα σωματίδια σχηματίζουν τα άτομα από τα οποία συνίσταται το σώμα μας και ο κόσμος που μας περιβάλλει. Από αυτά, μόνο το ηλεκτρόνιο είναι στοιχειώδες, δηλαδή δεν περιέχει μικρότερα συστατικά. Τα πρωτόνια και τα νετρόνια είναι σύνθετα. Αποτελούνται από στοιχειώδη σωματίδια – τα κουάρκ και τα γλοιόνια.
Συνήθως λέμε ότι τα πρωτόνια και τα νετρόνια ‘συνίστανται’ από τρία κουάρκ. Αλλά η πραγματικότητα είναι πολύ πιο μπερδεμένη Τα πρωτόνια και τα νετρόνια περιέχουν ολόκληρες θάλασσες από κουάρκ, αντικουάρκ και γλοιόνια. Μέσα σε ένα πρωτόνιο ή ένα νετρόνιο, σωματίδια και αντισωματίδια συνεχώς αλληλεπιδρούν μεταξύ τους και εξαφανίζονται.
Θεωρούμε ως συστατικά των πρωτονίων ή των νετρονίων μόνο τρία κουάρκ επειδή, μέσα σε αυτή τη δίνη των σωματιδίων που εμφανίζονται και εξαφανίζονται, τρία κουάρκ παραμένουν χωρίς τα αντίστοιχα αντι-κουάρκ. Τα αντιπρωτόνια (η αντίστοιχη αντιύλη των πρωτονίων) περιέχουν τρία μη ζευγαρωμένα αντικουάρκ.
Επομένως, η αντιύλη είναι παντού, μέσα σε κάθε άτομό σας, και στα άτομα όλων όσων βρίσκονται γύρω σας.
Η ύπαρξη της αντιύλης είχε προβλεφθεί θεωρητικά
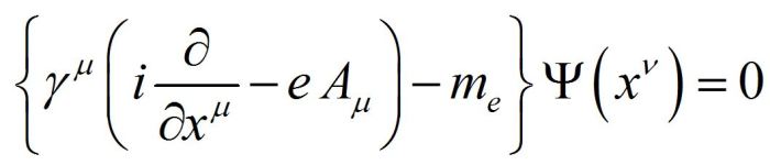
Το 1928, ένας από τους σημαντικότερους φυσικούς του 20ου αιώνα, ο Paul Dirac, βρέθηκε αντιμέτωπος με ένα παζλ. Προσπαθώντας να περιγράψει την συμπεριφορά των ηλεκτρονίων, αντικατέστησε την εξίσωση Schrödinger με μια νέα κβαντική εξίσωση που αναπαρήγαγε την σχέση ενέργειας–ορμής του ελεύθερου σωματιδίου σύμφωνα με τη θεωρία της σχετικότητας. Αλλά για να λειτουργήσει η εξίσωση, χρειαζόταν ένα σωματίδιο που εκείνη την εποχή δεν ήταν γνωστό ότι υπήρχε. Το νέο σωματίδιο έπρεπε να έχει την ίδια μάζα με ένα ηλεκτρόνιο αλλά το αντίθετο φορτίο. Τρία χρόνια αργότερα, πρότεινε τελικά την ύπαρξη ενός τέτοιου σωματιδίου, το οποίο ονόμασε «αντιηλεκτρόνιο».
Την ίδια χρονιά, ο Αμερικανός φυσικός Carl Anderson, στο Ινστιτούτο Τεχνολογίας στην Καλιφόρνια, έβγαζε φωτογραφίες από παράξενα ίχνη σωματιδίων που άφηναν οι κοσμικές ακτίνες όταν διέσχιζαν έναν ανιχνευτή σωματιδίων γνωστό ως θάλαμο Wilson. Το 1932, ο Anderson επιβεβαίωσε ότι τα ίχνη προέρχονταν από τα σωματίδια που είχε προβλέψει ο Dirac, τα οποία παρήχθησαν όταν οι κοσμικές ακτίνες συγκρούστηκαν με την ατμόσφαιρα της Γης. Ο Anderson ονόμασε τα σωματίδια «ποζιτρόνια». Αυτή ήταν η πρώτη επιβεβαιωμένη παρατήρηση αντιύλης.
Πολλές φορές οι θεωρητικές μαθηματικές εξισώσεις έχουν οδηγήσει στην πρόβλεψη και άλλων σωματιδίων. Στις αρχές του 20ου αιώνα, οι μάζες και η σταθερότητα των ατόμων δεν μπορούσαν να εξηγηθούν μόνο από τα πρωτόνια και τα ηλεκτρόνια τους. Ο Ernest Rutherford υπέθεσε ότι ένα άλλο, ουδέτερο σωματίδιο πρέπει να προστεθεί στην μάζα τους – το νετρόνιο. Και το 1930, ο Wolfgang Pauli αντί να αμφισβητήσει τις θεμελιώδεις αρχές διατήρησης, προτίμησε να υποθέσει ότι κατά την ραδιενεργή διάσπαση β ενός πυρήνα εκπέμπονταν ένα αόρατο και άγνωστο μέχρι τότε σωματίδιο. Αργότερα το σωματίδιο αυτό ονομάστηκε νετρίνο.
Και σήμερα οι επιστήμονες αναζητούν υποθετικά σωματίδια, όπως τα αξιόνια, τα υπερσυμμετρικά σωματίδια ή τα σωματίδια της σκοτεινής ύλης, που θα μπορούσαν να απαντήσουν μακροχρόνια ερωτήματα στη σωματιδιακή φυσική και την κοσμολογία.
Οι φυσικοί μπορούν να δημιουργήσουν υβριδικά άτομα φτιαγμένα εν μέρει από αντιύλη
Οι επιστήμονες μπορούν συνδυάζοντας αντιπρωτόνια με άτομα ηλίου να παράγουν ένα μετασταθές υβριδικό άτομο που αποτελείται από ύλη και αντιύλη – ένα αντιπρωτόνιο και ένα ηλεκτρόνιο που περιφέρεται γύρω από έναν πυρήνα ηλίου – που ονομάζεται αντι–πρωτονικό ήλιο.
Τα υβριδικά άτομα όπως αυτό ονομάζονται «εξωτικά» άτομα. Σε γενικές γραμμές, ένα εξωτικό άτομο προκύπτει όταν ένα συστατικό σωματίδιο ενός κανονικού ατόμου αντικαθίσταται με ένα διαφορετικό μεν σωματίδιο, αλλά με το ίδιο ηλεκτρικό φορτίο. Σε ορισμένες περιπτώσεις, το νέο σωματίδιο είναι σωματίδιο αντιύλης, όπως στο αντιπρωτονικό ήλιο, όπου ένα ηλεκτρόνιο του ατόμου ηλίου αντικαθίσταται με ένα αντιπρωτόνιο. Άλλα τέτοια παραδείγματα είναι το μιόνιουμ (το οποίο συνίσταται από ένα αντιμιόνιο και ένα ηλεκτρόνιο) και το ποζιτρόνιουμ, (το οποίο περιέχει ένα ηλεκτρόνιο και ένα ποζιτρόνιο).
Τα εξωτικά άτομα χρησιμοποιούνται για τη μελέτη των αλληλεπιδράσεων μεταξύ ύλης και αντιύλης σε μικροσκοπική κλίμακα. Οι αλληλεπιδράσεις μεταξύ των σωματιδίων και των αντισωματιδίων μέσα στα άτομα επιτρέπουν στους ερευνητές να μελετήσουν φαινόμενα που δεν μπορούν να διερευνηθούν διαφορετικά. Σύμφωνα με την φυσικό του Ομοσπονδιακού Ινστιτούτου Τεχνολογίας της Ζυρίχης Anna Soter, αυτές οι αλληλεπιδράσεις είναι ένα σημαντικό εργαλείο για την αναζήτηση νέας φυσικής.
Οι επιστήμονες διερευνούν εξωτικά άτομα για να αναζητήσουν τα σημάδια μιας άγνωστης «πέμπτης δύναμης» μεταξύ του αντιπρωτονίου και του ηλεκτρονίου. Οι επιστήμονες χρησιμοποιούν επίσης εξωτικά άτομα για να πραγματοποιήσουν ακριβέστατες μετρήσεις των ιδιοτήτων των σωματιδίων. Αυτό τους δίνει τη δυνατότητα να ελέγξουν συμμετρίες στο Καθιερωμένο Πρότυπο των στπιχειωδών σωματιδίων, όπως την πρόβλεψη ότι τα σωματίδια και τα αντισωματίδια τους θα πρέπει να έχουν ακριβώς την ίδια μάζα και το ίδιο (κατ’ απόλυτη τιμή) ηλεκτρικό φορτίο.
«Μέχρι σήμερα, το μετασταθές αντιπρωτονικό άτομο ηλίου είναι το μεγαλύτερο εξωτικό άτομο με αντιύλη που οι επιστήμονες μπόρεσαν να μελετήσουν χρησιμοποιώντας φασματοσκοπία λέιζερ», λέει η Soter. «Αλλά πιο απλά συστήματα, όπως το μιόνιουμ και το ποζιτρόνιουμ, έχουν επίσης τεράστιο ενδιαφέρον. Αυτά τα άτομα αποτελούνται μόνο από στοιχειώδη σωματίδια, απουσία ισχυρής αλληλεπίδρασης».
Εκτός από τη δημιουργία υβριδικών ατόμων, οι επιστήμονες μπορούν επίσης να δημιουργήσουν αντι-άτομα. Για παράδειγμα, συνδυάζοντας αντιπρωτόνια και ποζιτρόνια, οι επιστήμονες στο CERN παράγουν αντι-υδρογόνο.
Οι φυσικοί βρίσκουν περισσότερη αντιύλη στον γαλαξία μας από ότι περίμεναν
Στη δεκαετία του 1970, η αποστολή INTEGRAL της Ευρωπαϊκής Διαστημικής Υπηρεσίας ανίχνευσε ένα σήμα ακτίνων γάμμα στο κέντρο του Γαλαξία. Η λαμπρότητα και η κατανομή αυτού του σήματος έδειξε ότι μπορούσε να προέρχεται από την εξαΰλωση στον πυρήνα του γαλαξία μας 9 τρισεκατομμυρίων χιλογράμμων ποζιτρονίων (ή 1043 ποζιτρόνια) ανά δευτερόλεπτο – πολύ περισσότερα από ό,τι περίμεναν οι επιστήμονες.
Από πού προέρχονται όλα αυτά τα ποζιτρόνια είναι ένα ανοιχτό ερώτημα. Μερικοί υποψήφιοι θα μπορούσαν να είναι: η υπερμεγέθης μαύρη τρύπα στο κέντρο του γαλαξία, άλλες τεράστιες μαύρες τρύπες στην περιοχή, άστρα νετρονίων που περιστρέφονται γρήγορα (πάλσαρ) ή εξαϋλώσεις μεταξύ σωματιδίων σκοτεινής ύλης.
Αρκετά πειράματα στοχεύουν στον εντοπισμό της πηγής των ακτίνων γάμμα στο κέντρο του γαλαξία μας. Όπως για παράδειγμα το Compton Spectrometer and Imager (COSI), ένα τηλεσκόπιο ακτίνων γάμμα που θα μελετίσει τον πυρήνα του γαλαξία μας και ίσως ανιχνεύσει την πηγή αυτών των ποζιτρονίων. Άλλες προσπάθειες, όπως το All-sky Medium Energy Gamma-ray Observatory (AMEGO), στοχεύουν επίσης να ρίξουν φως σε αυτό το μυστήριο.
Πιο πρόσφατα, οι επιστήμονες εντόπισαν μια ακόμη περίσσεια ποζιτρονίων, με πολύ υψηλότερη ενέργεια. Ο ανιχνευτής κοσμικών ακτίνων PAMELA, σε έναν ρωσικό δορυφόρο, ανίχνευσε το 2008 περισσότερα σωματίδια αντιύλης σε σχέση με τα θεωρητικώς αναμενόμενα. Άλλα πειράματα, όπως το AMS-02, που λειτούργησαν στον Διεθνή Διαστημικό Σταθμό το 2011, επιβεβαίωσαν το εύρημα του ανιχνευτή PAMELA.
Από πού προέρχονται αυτά τα επιπλέον ποζιτρόνια; Έχουν διατυπωθεί αρκετές υποθέσεις. Σύμφωνα με τον Tim Linden, αστρονόμο στο Πανεπιστήμιο της Στοκχόλμης, οι ισχυρότεροι υποψήφιοι μπορεί να είναι τα πάλσαρ. Οι επιστήμονες έχουν μελετήσει τις ακτίνες γάμμα από τα πάλσαρ για να υπολογίσουν πόσα ποζιτρόνια απελευθερώνουν. «Λαμβάνουμε δεδομένα που ταιριάζουν πολύ καλά με μοντέλα όπου τα πάλσαρ θα παρήγαγαν την περίσσεια ποζιτρονίων που βλέπουμε», υποστηρίζει ο Linden.
πηγή: https://www.symmetrymagazine.org/article/four-more-things-you-might-not-know-about-antimatter
Κατηγορίες:ΚΒΑΝΤΙΚΗ ΘΕΩΡΙΑ, ΣΤΟΙΧΕΙΩΔΗ ΣΩΜΑΤΙΑ



Σχολιάστε