Τι παθαίνει κανείς όταν είναι άσχετος με τα Μαθηματικά
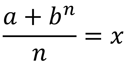
Προσκεκλημένος από την Αικατερίνη τη Μεγάλη να επισκεφθεί την Αυλή της, ο Diderot έβγαζε τα έξοδά του προσπαθώντας να μυήσει τους αυλικούς στον αθεϊσμό. Μπουχτισμένη μαζί του η Αικατερίνη παράγγειλε στον Euler να βάλει φίμωτρο στον θορυβώδη φιλόσοσφο. Αυτό ήταν εύκολο για τον Euler, μια και όλα τα μαθηματικά ήταν σαν κινέζικα για τον Diderot. O De Morgan αναφέρει το τι συνέβη (στο κλασικό βιβλίο του Ο Σάκος με τα παράδοξα, 1872): Ο Diderot πληροφορήθηκε πως ένας σοβαρός μαθηματικός κατείχε μια αλγεβρική απόδειξη της ύπαρξης του Θεού και θα την παρουσίαζε μπροστά σε όλη την αυλή, αν ήθελε να την ακούσει (ο Diderot). O φιλόσοφος συγκατάνευσε ευχαρίστως… Ο Euler προχώρησε προς το μέρος του και είπε με σοβαρότητα και απόλυτη σιγουριά:
Κύριε, , συνεπώς υπάρχει Θεός. αποκριθείτε!
Στον Diderot φάνηκε σαν κάτι με λογική, αλλά δυσνόητο. Ταπεινωμένος από τα ασταμάτητα γέλια που διαδέχθηκαν τη στενάχωρη σιωπή του, ο ταλαίπωρος ζήτησε από την Αικατερίνη την άδεια να επιστρέψει αμέσως στη Γαλλία. Του την έδωσε με χάρη.
Ανικανοποίητος απ’ αυτό το αριστούργημα, ο Euler ασχολήθηκε, τώρα με κάθε σοβαρότητα, με την κατασκευή άλλων αποδείξεων ότι υπάρχει Θεός και ότι η ψυχή δεν είναι ύλη. Αναφέρεται πως και οι δύο αποδείξεις περιελήφθησαν σε θεολογικές πραγματείες της εποχής. Πρόκειται ίσως για τα εκλεκτότερα άνθη της μη μαθηματικής πλευράς της μεγαλοφυϊας του.
Κατηγορίες:ΜΑΘΗΜΑΤΙΚΑ, ΦΙΛΟΣΟΦΙΑ, ΧΙΟΥΜΟΡ

Σχολιάστε