…διαμέσου της αρχέγονης πυρηνοσύνθεσης
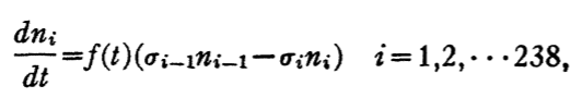
Η ιδέα της αρχέγονης πυρηνοσύνθεσης κατά την διάρκεια των πρώτων λεπτών της Μεγάλης Έκρηξης – ένα από τα θεμέλια της σύγχρονης κοσμολογίας, διατυπώθηκε για πρώτη φορά στην δημοσίευση του 1948 των Alpher, Bethe και Gamow, και είχε ως κίνητρο την αποτυχία των προσπαθειών ερμηνείας της αφθονίας των στοιχείων στο σύμπαν διαμέσου διεργασιών στο εσωτερικό των άστρων. Σύμφωνα με την δημοσίευση των ‘α, β και γ’, κατά την διάρκεια μιας πρώιμης (t~1−1000 sec) φάσης του Σύμπαντος, όπου αρχικά κυριαρχούσε η ακτινοβολία, η σύνθεση ελαφρών πυρήνων (κυρίως ήλιο) πραγματοποιήθηκε με διαδοχικές πυρηνικές αντιδράσεις σύλληψης νετρονίων. Χρησιμοποιήθηκε μόνο μια εξίσωση:
ή μάλλον ένα σύστημα διαφορικών εξισώσεων διαμέσου των οποίων υπολογίστηκαν οι αφθονίες των στοιχείων που προέκυψαν στα πρώτα λεπτά της Μεγάλης Έκρηξης:

Παρότι η πυρηνική φυσική στο μοντέλο τους ήταν λανθασμένη (χρειάστηκαν σχεδόν 20 χρόνια για να γίνουν όλα σωστά, από τους Wagoner, Fowler και Hoyle), η παραπάνω εργασία, έστρεψε την προσοχή στην διερεύνηση της πρώιμης πυκνής και θερμής φάσης του σύμπαντος όπου κυριαρχούσε η ακτινοβολία. Οδήγησε στην πρόβλεψη ύπαρξης στο σημερινο σύμπαν του αρχαιότερου αποτυπώματος της Μεγάλης Έκρηξης – της κοσμικής μικροκυματικής ακτινοβολίας υποβάθρου. Οι δημιοσιεύσεις που ακολούθησαν έκαναν εκτιμήσεις για την θερμοκρασία της κοσμικού μικροκυματικού υποβάθρου, από 5 K έως 50 K, όλες βασισμένες σε λάθος φυσική, δημιουργώντας όμως ένα ρεύμα υπέρ της θεωρίας της Μεγάλης Έκρηξης! (Mέχρι και ο Πάπας Πίος ΙΒ΄ την χρησιμοποίησε ως απόδειξη της ύπαρξης του Θεού και μίλησε για το ‘primordial Fiat Lux‘).

Ο Gamow και οι συνεργάτες του έκαναν, λανθασμένες από φυσικής απόψεως, προβλέψεις για την θερμοκρασία του κοσμικού μικροκυματικού υποβάθρου, οι οποίες σε μεγάλο βαθμό αγνοήθηκαν. Ίσως, επειδή κανείς δεν πίστευε ότι θα ήταν ανιχνεύσιμη. Όπως είναι γνωστό, η πολύ σημαντική υπολειπόμενη ακτινοβολία από την θερμή Μεγάλη Έκρηξη ανακαλύφθηκε τυχαία από τους Penzias και Wilson το 1965.
Ο Michael S. Turner στην δημοσίευσή του με τίτλο ‘Predicting the CMB temperature‘ κάνει έναν πρόχειρο υπολογισμό χρησιμοποιώντας την σωστή φυσική πίσω από την αρχέγονη σύνθεση πυρήνων, προσδιορίζοντας την πρόβλεψη που θα μπορούσε να είχε γίνει τότε.
Ελλείψει ενός λεπτομερούς μοντέλου αρχέγονης πυρηνοσύνθεσης, στην καλύτερη περίπτωση θα μπορούσε κανείς να υπολογίσει ένα ανώτερο όριο στην θερμοκρασία κοσμικού υποβάθρου μεταξύ 10 K και 60 K. Φυσικά, ένας λεπτομερής υπολογισμός στον υπολογιστή, όπως αυτός των Wagoner et al, και οι αρχέγονες αφθονίες θα επέτρεπαν σε κάποιον να προβλέψει με ακρίβεια την κοσμική μικροκυματική θερμοκρασία υποβάθρου.

Ο Turner χρησιμοποιώντας την σοφία της εκ των υστέρων αποκτηθείσας κοσμολογικής γνώσης, καταλήγει στην απλή εξίσωση που δίνει την σημερινή θερμοκρασία κοσμικού υποβάθρου (CMB) σε Κelvin συναρτήσει τριών παραμέτρων:
όπου h = H0/100 km∙s-1∙Mpc-1, η παραμετροποιημένη σταθερά του Hubble, ΩB το κλάσμα της βαρυονικής πυκνότητας και η10=η/10-10 το κλάσμα του αριθμού βαρυονίων προς τον αριθμό φωτονίων.
Χρησιμοποιώντας στην παραπάνω εξίσωση το κάτω όριο του η10 ≥ 0,1, παίρνουμε το άνω όριο στην ‘προβλεπόμενη’ θερμοκρασία CMB:
(1) Για την καλά καθορισμένη σημερινή τιμή, ΩBh2 = 0,022, παίρνουμε TCMB ≤ 11 K.
(2) Για τις τιμές που ήταν γνωστές το 1960, h = 1 και ΩB = 0,1 προκύπτει TCMB ≤ 18 K.
(3) Ενώ για τις αντίστοιχες του 1950, h = 2 και ΩB=1, TCMB ≤ 61 K.
Φαινεται λοιπόν ότι η φυσική της αρχέγονης πυρηνοσύνθεσης σε ένα πυκνό και θερμό σύμπαν, στα πρώτα της βήματα, δεν ήταν εύκολο να προβλέψει την σωστή τιμή της TCMB, μέχρι την τυχαία ανακάλυψη της το 1965 από τους Penzias και Wilson. Όμως ήδη από το 1940, πολύ πριν την ανακάλυψη της μικροκυματικής κοσμικής ακτινοβολίας υποβάθρου, υπήρχε μια καλύτερη εκτίμηση για το πάνω όριο της TCMB από τον Andrew McKellar. Οι διερεύνηση των φασμάτων κυανίου C-N και C-H που περιέχονται στην μεσοαστρική ύλη, απέδειξε πως η θερμοκρασία του σύμπαντος είναι μικρότερη από 5 Κ (βλέπε ΕΔΩ). Έτσι, ο Fred Hoyle, το αντίπαλο δέος του Gamow, (ένας ορκισμένος εχθρός της θεωρίας της Μεγάλης Έκρηξης, αφού ο ίδιος την ονόμασε Big Bang για να την γελοιοποιήσει), χρησιμοποίησε το αποτέλεσμα του McKellar, ως επιχείρημα εναντίον της θεωρίας του Gamow στις αντιπαραθέσεις μεταξύ τους.
Η σύγχυση στα πρώτα βήματα της κοσμολογίας ήταν μεγάλη και τα λάθη στην πορεία της ήταν πολλά. Στη συνέχεια όμως, όλα δούλεψαν ρολόι και η κοσμική μικροκυματική ακτινοβολία υποβάθρου μετέτρεψε την κοσμολογία σε επιστήμη ακριβείας.
διαβάστε περισσότερα ΕΔΩ: https://arxiv.org/abs/2111.14254
Κατηγορίες:ΚΟΣΜΟΛΟΓΙΑ, ΠΥΡΗΝΙΚΗ ΑΣΤΡΟΦΥΣΙΚΗ, ΠΥΡΗΝΙΚΗ ΦΥΣΙΚΗ

Σχολιάστε