Στα μέσα της δεκαετίας του 1980, όταν η ανίχνευση βαρυτικών κυμάτων ανήκε ακόμα στην σφαίρα της επιστημονικής φαντασίας, ο Bernard F. Schutz δημοσίευε ένα άρθρο για το πως θα μπορούσαμε να μετρήσουμε την σταθερά του Hubble χρησιμοποιώντας παρατηρήσεις (!) βαρυτικών κυμάτων (Determining the Hubble constant from gravitational wave observations). Η κεντρική ιδέα αυτής της μεθόδου είναι να εκτιμηθεί η απόσταση ενός γαλαξία χρησιμοποιώντας το βαρυτικό κύμα ως «πρότυπο σειρήνας», το βαρυτικό ανάλογο του αστρονομικού «πρότυπου κεριού» – η φωτεινότητα του οποίου (και επομένως η απόστασή του) μπορεί να προκύψει απευθείας από τις παρατηρήσεις. Το πρότυπο σειρήνας είναι δυαδικό σύστημα, αποτελούμενο είτε από αστέρες νετρονίων ή μαύρες τρύπες. Η ανιχνευόμενη βαρυτική κυματομορφή («chirp»), που προκαλείται καθώς τα συμπαγή αντικείμενα κινούνται σπειροειδώς προς την συγχώνευσή τους, μεταφέρει πληροφορίες σχετικά με την απόσταση της πηγής – καθώς και τις μάζες των αντικειμένων και άλλων παραμέτρων του συστήματος. Από την ανάλυση της ανιχνευόμενης μορφής του βαρυτικού κύματος, είναι δυνατή η εκτίμηση αυτής της απόστασης. Χρησιμοποιώντας τα δεδομένα του βαρυτικού σήματος GW170817, που εντόπισαν οι ανιχνευτές βαρυτικών κυμάτων LIGO και Virgo στις 17 Αυγούστου 2017, οι φυσικοί πραγματοποίησαν για πρώτη φορά με την μέθοδο αυτή την μέτρηση της σταθερά του Hubble.
Η ανίχνευση του βαρυτικού κύματος GW170817, συνοδεύθηκε για πρώτη φορά και από την παρατήρηση ηλεκτρομαγνητικών κυμάτων από την ίδια αστροφυσική πηγή. Αυτή η κοινή παρατήρηση στηρίζει την υπόθεση ότι η πηγή είναι η συγχώνευση δύο άστρων νετρονίων, επιτρέποντας επίσης και την ταυτοποίηση του γαλαξία στον οποίο πραγματοποιήθηκε το γεγονός. Πρόκειται για τον γαλαξία NGC4993, που βρίσκεται στον στον αστερισμό της Ύδρας. Η ανάλυση της κυματομορφής του GW170817 έδωσε μια εκτίμηση απόστασης περίπου 40 Mpc, υποθέτοντας ότι η θέση του γεγονότος GW170817 συμπίπτει ακριβώς με το οπτικό αντίστοιχό του. Πέρα από τα ενδογενή σφάλματα της μέτρησης, η εκτίμηση της απόστασης μέσα από την πληροφορία που περιέχει το βαρυτικό κύμα έχει το μεγάλο πλεονέκτημα να είναι εντελώς ανεξάρτητη από τους δείκτες κοσμικών αποστάσεων που βασίζονται σε ηλεκτρομαγνητικές παρατηρήσεις (Kηφείδες, Σουπερνόβα τύπου Ια).
Για να εκτιμηθεί η σταθερά του Hubble πρέπει να συνδυάσουμε την απόσταση που προκύπτει από το βαρυτικό κύμα για τον γαλαξία NGC4993 με την ακτινική ταχύτητα του γαλαξία εξαιτίας της διαστολής Hubble. Ωστόσο, δεν μπορούμε απλά να χρησιμοποιήσουμε τη μετρούμενη ακτινική ταχύτητα του NGC4993. Αυτό συμβαίνει διότι οι γαλαξίες εκτός από την ταχύτητα εξαιτίας της διαστολής του σύμπνατος, εκτελούν και επιπρόσθετες κινήσεις εξαιτίας της βαρυτικής έλξης από άλλους γαλαξίες ή σμηνών γαλαξιών ή (και λόγω της αόρατης σκοτεινής ύλης) στην περιοχή τους. Αυτές οι κινήσεις πρέπει να ληφθούν υπόψιν για να αποδοθεί η σωστή ταχύτητα εξαιτίας της διαστολής του σύμπαντος στον εν λόγω γαλαξία.
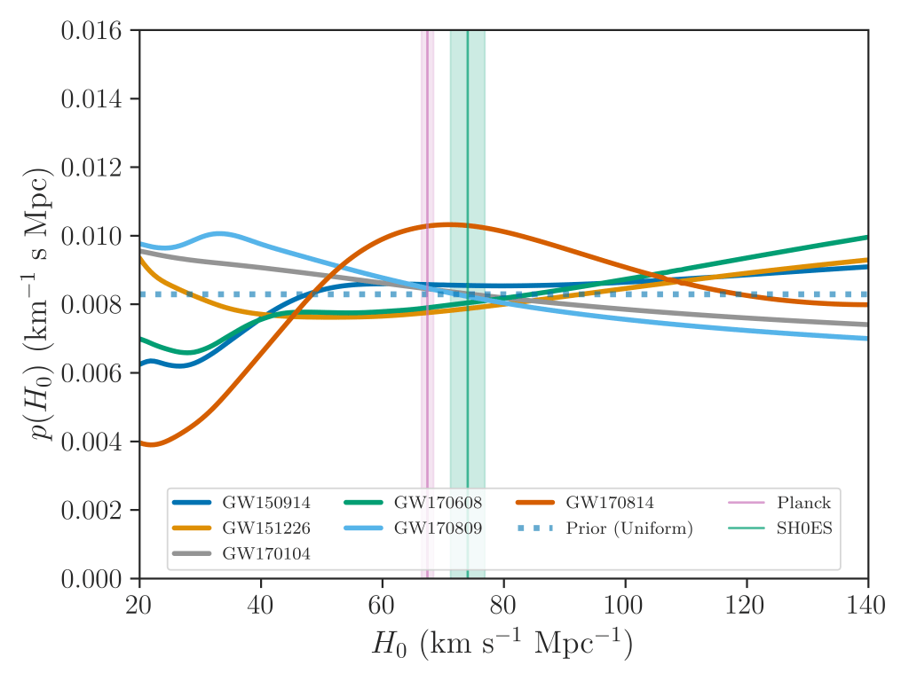
Στην δημοσίευση με τίτλο «A gravitational-wave measurement of the Hubble constant following the second observing run of Advanced LIGO and Virgo«, παρουσιάζεται το αποτέλεσμα μιας νέας βελτιωμένης ανάλυσης που υπολογίζει την σταθερά του Hubble από τα δεδομένα της συγχώνευσης του δυαδικού συστήματος άστρων νετρονίων GW170817, μειώνοντας την αβεβαιότητα της προηγούμενης εκτίμησης κατά 4%:
Η παραπάνω τιμή βρίσκεται σε πολύ καλή συμφωνία με τις τιμές που προκύπτουν από την μελέτη της κοσμικής μικροκυματικής ακτινοβολίας υποβάθρου και των παρατηρήσεων σουπερνόβα.

Όμως, τα βαρυτικά κύματα από την συγχώνευση των μαύρων τρυπών που δεν συνοδεύονται από αντίστοιχα ηλεκτρομαγνητικά σήματα, δίνουν λιγότερες κοσμολογικές πληροφορίες σε σύγκριση με την συγχώνευση άστρων νετρονίων. Ωστόσο από την ανάλυση είναι σαφές ότι όλα τα συμβάντα συγχώνευσης, μπορούν να συνδυαστούν για τη βελτίωση της τελικής μέτρησης.
Με τις μελλοντικές αναμενόμενες ανιχνεύσεις βαρυτικών σημάτων, αλλά και την αναβάθμιση ή επέκταση του δικτύου των ανιχνευτών, είναι πλέον θέμα χρόνου οι κοσμολογικές μετρήσεις διαμέσου των βαρυτικών κυμάτων να γίνουν ανταγωνιστικές με τρέχουσες προσεγγίσεις.
διαβάστε περισσότερες λεπτομέρειες στο εκλαϊκευμένο άρθρο που δημοσιεύεται στον ιστότοπο του LIGO:
Κάνε κλικ για να αποκτήσεις πρόσβαση flyer.pdf
Κατηγορίες:ΑΣΤΡΟΦΥΣΙΚΗ, ΚΟΣΜΟΛΟΓΙΑ, ΜΑΥΡΕΣ ΤΡΥΠΕΣ, ΣΧΕΤΙΚΟΤΗΤΑ


Σχολιάστε