Φαίνεται πιθανή η παραβίαση της διατήρησης λεπτονικής γεύσης – που σημαίνει την ύπαρξη νέας δύναμης (και νέων σωματιδίων) στη φύση
Χτες, το πείραμα LHCb (Large Hadron Collider Beauty) ανακοίνωσε νέα αποτελέσματα, τα οποία εφόσον επιβεβαιωθούν, θα αποδεικνύουν την παραβίαση της αποδεκτής μέχρι σήμερα θεωρίας των στοιχειωδών σωματιδίων, του Καθιερωμένου Προτύπου. Τα αποτελέσματα επικεντρώνονται στην πιθανή παραβίαση της παγκοσμιότητας λεπτονικής γεύσης και ανακοινώθηκαν στο επιστημονικό συνέδριο Moriond για τις ηλεκτρασθενείς αλληλεπιδράσεις και τις ενοποιημένες θεωρίες
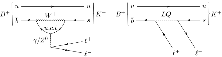
Η ανάλυση των φυσικών του LHCb, συγκρίνει δύο τύπους διάσπασης του κουάρκ b (ομορφιά ή πυθμένας). Η πρώτη διάσπαση περιλαμβάνει το ηλεκτρόνιο και η δεύτερη το μιόνιο, ένα άλλο στοιχειώδες σωματίδιο παρόμοιο με το ηλεκτρόνιο αλλά περίπου 200 φορές βαρύτερο. Το ηλεκτρόνιο και το μιόνιο, μαζί με ένα τρίτο σωματίδιο που ονομάζεται ταυ, ανήκουν στην κατηγορία των σωματιδίων που ονομάζονται λεπτόνια και η διαφορά μεταξύ τους αναφέρεται ως «γεύσεις». Το Καθιερωμένο Πρότυπο της φυσικής των σωματιδίων προβλέπει ότι οι διασπάσεις που περιλαμβάνουν διαφορετικές γεύσεις λεπτονίων, όπως αυτή της μελέτης LHCb, θα πρέπει να εμφανίζονται με την ίδια πιθανότητα. Το χαρακτηριστικό αυτό είναι γνωστό ως παγκοσμιότητα της λεπτονικής γεύσης και μετράται από την αναλογία μεταξύ των πιθανοτήτων διάσπασης που συμβολίζεται με RK. Στην αποδεκτή μέχρι σήμερα θεωρία ο λόγος αυτός πρέπει να είναι ισούται με την μονάδα.

Τα ασταθή φορτισμένα αδρόνια B+ (που αποτελούνται από τα κουάρκ u και ), διασπώνται σε φορτισμένα καόνια και φορτισμένα λεπτόνια
. Ενώ, σύμφωνα με το Καθιερωμένο Πρότυπο των στοιχειωδών σωματιδίων είναι εξίσου πιθανό να διασπαστούν σε ηλεκτρόνια ή μιόνια, τα αποτελέσματα των αναλύσεων δείχνουν ότι η φύση προτιμά τα ηλεκτρόνια από τα βαρύτερα μιόνια. Έτσι, η τιμή του λόγου RK βρέθηκε μικρότερη της μονάδας:
Η ακρίβεια της ανακάλυψης είναι στα 3,1 σίγμα, δηλαδή υπάρχει μια πιθανότητα στις 1000 να πρόκειται για τυχαίο εύρημα. Η στατιστική επιβεβαιώνει το εύρημα στα 5σ (μία στο εκατομμύριο να πρόκειται για κάτι συμπτωματικό) . Αν αυτό το αποτέλεσμα επιβεβαιωθεί τότε στη φύση υπάρχει μια επιπλέον δύναμη (εκτός από τις ήδη γνωστές (βαρυτική, ηλεκτρομαγνητική, ισχυρή πυρηνική, ασθενής πυρηνική). Μια δύναμη που συγκρατεί τα στοιχειώδη σωματίδια (κουάρκ) τα οποία συνθέτουν τα μεσόνια και τα εμποδίζει να διασπαστούν σε μιόνια.
Η απόκλιση που παρουσιάστηκε είναι σύμφωνη με ένα μοτίβο ανωμαλιών που μετρήθηκε σε παρόμοιες διεργασίες από τον LHCb και άλλα πειράματα την τελευταία δεκαετία. Τα νέα αποτελέσματα καθορίζουν την αναλογία μεταξύ των πιθανοτήτων διάσπασης με μεγαλύτερη ακρίβεια από όλες τις προηγούμενες μετρήσεις (π.χ. το 2014 ή το 2017).
Υπάρχει 5η δύναμη; Νέα από τον Μεγάλο Επιταχυντή Αδρονίων (CERN LHCb), James Beacham & Phil Ilten:
πηγές: https://home.cern/news/news/physics/intriguing-new-result-lhcb-experiment-cern – https://arxiv.org/pdf/2103.11769.pdf
Κατηγορίες:ΣΤΟΙΧΕΙΩΔΗ ΣΩΜΑΤΙΑ, LHC


Σχολιάστε