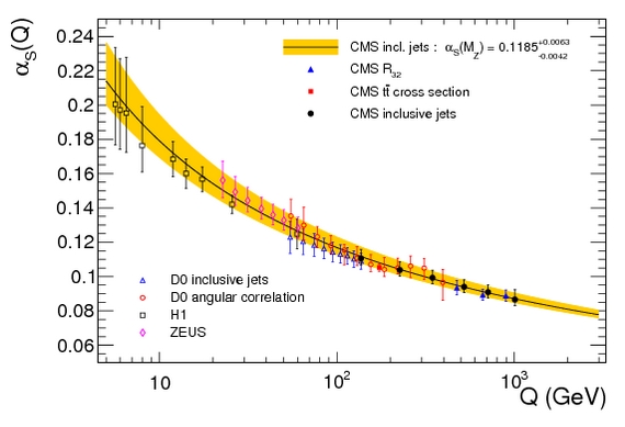
Η μέτρηση της σταθεράς σύζευξης της ισχυρής αλληλεπίδρασης
όπου η πρώτη αβεβαιότητα είναι στατιστική και η δεύτερη, η οποία είναι ασύμμετρη, οφείλεται σε θεωρητικές αβεβαιότητες. Η τιμή δίνεται στη κλίμακα της μάζας του μποζονίου Ζ, όπως και συνηθίζεται. Η κίτρινη ζώνη στο παραπάνω διάγραμμα αντιστοιχεί σε θεωρητικές προβλέψεις δεδομένου αυτού του αποτελέσματος από το CMS.
… διαβάστε ΕΔΩ: qdepizwn.wordpress.com για τις πιο πρόσφατες δημοσιεύσεις από τον Μεγάλο Επιταχυντή Αδρονίων (LHC) – συγκεκριμένα από το πείραμα CMS – σχετικά με
1. την μέτρηση της σταθεράς σύζευξης της ισχυρής αλληλεπίδρασης
2. τα αποτελέσματα των ερευνών για τις σπάνιες διασπάσεις του μποζονίου Higgs σε ζεύγη μιονίων και ηλεκτρονίων και
3. τα αποτελέσματα μετρήσεων σκέδασης διανυσματικών μποζονίων μέσω ηλεκτρασθενών διαδικασιών
Κατηγορίες:ΣΤΟΙΧΕΙΩΔΗ ΣΩΜΑΤΙΑ, LHC

Σχολιάστε