H αλεξανδρινή αστρονομία σήμερα
Η πενιχρότητα των μέσων οξύνει την επινοητικότητα
Ένας φίλος που αγαπάει πολύ τα μαθηματικά, κάνοντας χιούμορ σε συζήτηση που είχαμε πρόσφατα, ισχυρίστηκε πως ελάχιστοι φυσικοί μπορούν να αποδείξουν την σχέση μεταξύ του μεγέθους της Γης και της προβολής της σκιάς της επί της Σελήνης.
«Ζήτα από συναδέλφους σου, φυσικούς να αποδείξουν την σχέση μεταξύ του μεγέθους της Γης και της προβολής της επί της Σελήνης. Καίτοι είναι απλή, πολλοί κάνουν λάθος…», μου είπε. Kαι δυστυχώς είχε δίκιο…
Για να καλύψω τα κενά … ανέτρεξα στην σχετική βιβλιογραφία. Το ζήτημα αυτό αναλύεται πολύ όμορφα από τον Case Rijsdijk σε άρθρο του στο περιοδικό QUANTUM (Ιανουάριος/Φεβρουάριος 2000, Τόμος 7/ τεύχος 1) – αλλά και στο βιβλίο του Ελευθερίου Ν. Οικονόμου: «ΕΠΙΣΤΗΜΗ ΠΟΥ ΕΔΥ ΣΟΥ Η ΘΕΛΞΗ») – με έναν τρόπο που μας βοηθά να «ανακαλύψουμε εκ νέου» μερικές πλευρές της πρώιμης ελληνικής αστρονομίας, όπως την ασκούσαν οι αστρονόμοι που εργάστηκαν στη μεγάλη βιβλιοθήκη της Αλεξάνδειας στην περίοδο από το 300 π.Χ. ως το 150 μ.Χ. περίπου.
Ο Αρίσταρχος ο Σάμιος βασίστηκε σε μια σεληνιακή έκλειψη για να εκτιμήσει τη διάμετρο της Σελήνης. Αργότερα ο Ίππαρχος ήλθε να βελτιώσει την εκτίμηση αυτή. Την ίδια γεωμετρία χρησιμοποίησε έπειτα από πολλούς αιώνες και ο Κοπέρνικος στο De Revolutionibus orbium coelestium (Περί της περιστροφής των ουράνιων σφαιρών).
Στη συνέχεια περιγράφεται ο τρόπος υπολογισμού της σχέσης μεταξύ του μεγέθους της Γης και της προβολής της σκιάς της επί της Σελήνης, της ακτίνας της Σελήνης, της ακτίνας της Γης και της απόσταση Γης – Σελήνης με την μέθοδο των αλεξανδρινών αστρονόμων.
Κατά τη διάρκεια μιας έκλειψης της Σελήνης, όταν η Σελήνη εισέρχεται στη σκιά της Γης βλέπουμε την παρακάτω εικόνα

Αν s=ακτίνα του κύκλου του κύκλου της σκιάς της Γης και a=η ακτίνα της Σελήνης, το μαθηματικό πρόβλημα που τίθεται είναι να βρούμε τον λόγο s/a.
Αν λοιπόν διαθέτουμε μια καθαρή φωτογραφία από μια έκλειψη Σελήνης, τότε ονομάζουμε Α και Β τα σημεία τομής των δυο κύκλων

Σύμφωνα με το σχήμα 2, Ν και Ν’ είναι τα μέσα των χορδών ΑD και DB. Oι κάθετοι που άγονται από αυτά τα σημεία τέμνονται στο σημείο Ρ, οπότε το μήκος DP εκφράζει την ακτίνα της Σελήνης στο σχήμα.
Με παρόμοιο τρόπο καταλήγουμε στο συμπέρασμα ότι το τμήμα OC παριστάνει την ακτίνα της σκιάς της Γης σε απόσταση ίση με την ακτίνα της τροχιάς της Σελήνης. Έτσι,
ΟC/DP = s/a
Η ακτίνα της Σελήνης
Χρησιμοποιώντας τον παραπάνω λόγο μπορούμε να υπολογίσουμε την ακτίνα της Σελήνης (και στη συνέχεια την απόσταση μεταξύ Γης – Σελήνης) θεωρώντας στο παρακάτω σχήμα:
ΕS=D=απόσταση Ήλιου Γης
ΕΜ=d=απόσταση Γης – Σελήνης
AS=R=ακτίνα του Ήλιου
EF=r=ακτίνα της Γης
MN=a=ακτίνα της Σελήνης
MK=s=ακτίνα της Γης ΜΚ

Αν ο Ήλιος απέχει από τη Γη απόσταση n φορές μεγαλύτερη απ’ ότι η Σελήνη, τότε μπορούμε να γράψουμε: SE=n•EM ή σύμφωνα με τους παραπάνω συμβολισμούς:
n=SE/EM=D/d (1)
Όπως μπορούμε να διαπιστώσουμε από την παρατήρηση των ηλιακών εκλείψεων, ο Ήλιος και η Σελήνη έχουν την ίδια φαινόμενη διάμετρο, διότι φαίνονται υπό την ίδια (περίπου) γωνία στον ουρανό.
Συνεπώς: γωνία(AES)=γωνία(ΜΕΝ)
Συμπεραίνουμε, λοιπόν, ότι τα τρίγωνα ASE και ΝΜΕ είναι όμοια (έστω και αν δεν φαίνονται στο σχήμα 3, το οποίο δεν συνιστά ακριβή απεικόνιση υπό κλίμακα της γεωμετρίας της σεληνιακής έκλειψης).
Έτσι από την ομοιότητα των τριγώνων και βάσει της εξίσωσης (1) έχουμε
ΑΕ/ΝΕ=AS/NM=SE/ME=n
οπότε
n=AS/MN=R/a (2)
Τα τρίγωνα ATF και FPK είναι επίσης όμοια, οπότε παίρνουμε τις αναλογίες
TF/PK=AT/FP ή SE/EM=AT/FP=(SA-TS)/(FE-PE) ή
SE/EM=(SA-FE)/(FE-KM) (3)
Aν εισάγουμε στην εξίσωση (3) τα σύμβολα που καθορίσαμε για τα χαρακτηριστικά μήκη του προβλήματος και λάβουμε υπόψη τις εξισώσεις (1) και (2), καταλήγουμε στη σχέση
D/d=n=(R-r)/(r-s) (4)
Mπορούμε να αναδιατάξουμε τους όρους της εξίσωσης (4) και να πάρουμε
a(1 + s/a) = r(1 + 1/n) (5)
Όσον αφορά την παραπάνω εξίσωση:
• Στην παραπάνω σχέση ο λόγος s/a υπολογίζεται με τον τρόπο που περιγράφηκε στην αρχή κατά την διάρκεια μιας μερικής έκλειψης της Σελήνης.
• Στον αριθμό n που εκφράζει τον λόγο της απόστασης Γης – Ήλιου προς την απόσταση Γης – Σελήνης, ο Αρίσταρχος είχε δώσει την τιμή 20. Όμως πραγματική τιμή του είναι πολύ μεγαλύτερη, οπότε ο λόγος 1/n είναι πολύ μικρός σε σχέση με την μονάδα και μπορεί να παραληφθεί από την εξίσωση (5).
• Η ακτίνα της Γης r μπορεί να υπολογιστεί (χωρίς την χρήση της μοντέρνας τεχνολογίας) με την κλασσική μέθοδο του Ερατοσθένη
Το πείραμα του Ερατοσθένη θα μπορούσε εύκολα να επαναληφθεί. Αν σε δυο σημεία που βρίσκονται πάνω στον ίδιο μεσημβρινό (και απέχουν μεταξύ τους τουλάχιστον 500 km) τοποθετηθούν σε επίπεδο έδαφος κατακόρυφες ράβδοι και μετρηθεί το μήκος της σκιάς τους την ίδια χρονική στιγμή, τότε μπορούν να μετρηθούν οι γωνίες φ και β. Είναι εύκολο να αποδειχθεί ότι: θ=β-φ
Στηριζόμενοι σε απλές αναλογίες, καταλήγουμε στο αποτέλεσμα
S/2πr = θ/360 όπου r η ακτίνα της Γης και S η απόσταση των σημείων W και Τ. Λύνοντας ως προς r υπολογίζουμε την ακτίνα της Γηςr = S•360/2πθ (6)
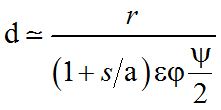
Έχοντας υπόψη τα παραπάνω και την εξίσωση ΟC/DP = s/a υπολογίζουμε την ακτίνα της Σελήνης

Η απόσταση Γης – Σελήνης
Η ακτίνα της Σελήνης r μπορεί να εκφραστεί συναρτήσει της απόστασης Γης-Σελήνης d, αρκεί να μετρήσουμε την γωνιακή διάμετρο της Σελήνης.
Μπορούμε να την μετρήσουμε άμεσα αν χρησιμοποιήσουμε τη διάταξη του παρακάτω σχήματος

Ο δρομέας στη διάταξη του σχήματος 5 μπορεί να κινείται ελεύθερα κατά μήκος του μετρητικού κανόνα. Πάνω στον δρομέα στερεώνεται ένα μικρό χαλύβδινο σφαιρίδιο (π.χ. μια μπίλια ρουλεμάν) διαμέτρου περίπου 6 mm. Στο ένα άκρο του κανόνα προσαρμόζεται ένας δίσκος με μια μικρή οπή. Στηρίζουμε τον κανόνα σε μια ακλόνητη βάση και παρατηρούμε τη Σελήνη μέσα από τη μικρή οπή του σταθερού δίσκου. Εν συνεχεία μετακινούμε το δρομέα έτσι ώστε το χαλύβδινο σφαιρίδιο να καλύψει ακριβώς το δίσκο της Σελήνης. Στη θέση αυτή, η γωνία υπό την οποία φαίνεται το σφαιρίδιο συμπίπτει με εκείνη υπό την οποία φαίνεται η Σελήνη:
εφψ = Δ/L
Συνεπώς η γωνιακή διάμετρος της Σελήνης υπολογίζεται από την εξίσωση
ψ=τοξεφ(Δ/L) (8)
Επειδή εμείς ενδιαφερόμαστε για την γωνιακή ακτίνα της σελήνης θα χρησιμοποιήσουμε το μισό αυτής της γωνίας οπότε η σχέση της ακτίνας a της Σελήνης με την απόσταση Γης –Σελήνης d θα είναι
a = d εφ(ψ/2)
και από την εξίσωση (7) θα έχουμε για την απόσταση Γης – Σελήνης

Οι τιμές των αλεξανδρινών αστρονόμων
O Ίππαρχος χρησιμοποίησε τις τιμές
s/a = 8/3 και ψ = 31´
Έτσι οδηγήθηκε στην σχέση
d≈a•220
Για την ακτίνα r της Γης, υιοθέτησε την τιμή των 6500 km του Ερατοσθένη. Εάν χρησιμοποιήσουμε αυτή την τιμή παίρνουμε από την εξίσωση (7) για την ακτίνα της Σελήνης
a≈1773 km
οπότε η απόσταση Γης-Σελήνης θα είναι
d≈390000 km
Oι παραπάνω τιμές βρίσκονται πολύ κοντά στις τιμές που είναι αποδεκτές σήμερα (ακτίνα Σελήνης = 1738 km και η απόσταση Γης – Σελήνης κυμαίνεται μεταξύ 356000 km έως 466700 km)
ΠΗΓEΣ:
1. Case Rijsdijk – ελληνική έκδοση του περιoδικού QUANTUM Ιανουάριος/Φεβρουάριος 2000, Τόμος 7/ τεύχος 1
2. Ελευθέριος Ν. Οικονόμου: «ΕΠΙΣΤΗΜΗ ΠΟΥ ΕΔΥ ΣΟΥ Η ΘΕΛΞΗ;», εκδόσεις Ευρασία
Κατηγορίες:ΑΣΤΡΟΝΟΜΙΑ, ΜΑΘΗΜΑΤΙΚΑ


Σχολιάστε