Δυο είναι τα βασικότερα επιχειρήματα που εδραίωσαν τη θεωρία της Μεγάλης Έκρηξης:
1. Η διαστολή του σύμπαντος και 2. Η κοσμική ακτινοβολία υποβάθρου
Οι αστρονομικές παρατηρήσεις του Hubble οδήγησαν στην εξίσωση που περιγράφει τον ομώνυμο νόμο,
σύμφωνα με τον οποίο
σε οποιαδήποτε διεύθυνση κι αν κοιτάξουμε, παρατηρούμε γαλαξίες να απομακρύνονται από εμάς και όσο πιο απομακρυσμένοι είναι οι γαλαξίες, τόσο ταχύτερα απομακρύνονται. Εφόσον ο γαλαξίας μας δεν κατέχει μια ιδιαίτερη θέση στο σύμπαν, την ίδια εικόνα θα είχαμε αν παρατηρούσαμε το σύμπαν από οποιοδήποτε άλλο γαλαξία. Έτσι, το λογικό συμπέρασμα είναι ότι το σύμπαν διαστέλλεται.
Η παραδοχή ότι το σύμπαν διαστέλλεται μας υποβάλλει στην ιδέα ότι κάποτε το σύμπαν ήταν πολύ μικρότερο και ότι αν πάμε πολύ πιο πίσω στο χρόνο θα μπορούσε να ήταν σημειακό. Έτσι οδηγούμαστε στην ιδέα του Big Bang – την στιγμή της δημιουργίας του σύμπαντος και την μετέπειτα διαστολή του, σε συνδυασμό πάντα με τα αντίστοιχα θεωρητικά μοντέλα της γενικής θεωρία της σχετικότητας.
Όμως αυτό που έκανε την επιστημονική κοινότητα να πάρει στα σοβαρά την θεωρία της Μεγάλης Έκρηξης ήταν η ανακάλυψη της κοσμικής ακτινοβολίας υποβάθρου.
Η κοσμική ακτινοβολία υποβάθρου είναι κατάλοιπο της Μεγάλης Έκρηξης. Λίγο μετά την Μεγάλη Έκρηξη, η ύλη και η ακτινοβολία βρισκόταν σε ισορροπία μεταξύ τους.
Στη συνέχεια καθώς το σύμπαν διαστελλόταν και θερμοκρασία έπεφτε σε μερικά δισεκατομμύρια βαθμούς Κέλβιν, τα νετρόνια και τα πρωτόνια άρχισαν να συνδέονται μεταξύ τους σχηματίζοντας βαρύτερους πυρήνες.
Όμως οι συνθήκες που επικρατούσαν κατά την αρχέγονη πυρηνοσύνθεση σε συνδυασμό με την έλλειψη σταθερών πυρήνων με μαζικό αριθμό Α= 5 και Α= 8, οδήγησαν στο σχηματισμό ελαφρών πυρήνων όπως δευτέριο, τρίτιο και ήλιο (κυρίως).
Με το τέλος της πυρηνοσύνθεσης η ακτινοβολία έπαψε να αλληλεπιδρά με την ύλη και από τότε είναι «διασκορπισμένη» στο διαστελλόμενο σύμπαν.
Η ακτινοβολία αυτή αντιστοιχεί σε μια θερμοκρασία του σύμπαντος.
Οι πρώτοι θεωρητικοί υπολογισμοί της θερμοκρασίας αυτής σύμφωνα με τη θεωρία της Μεγάλης Έκρηξης έγιναν στη δεκαετία του 1940 από τους Gamow, Alpher, Herman και αργότερα στις αρχές της δεκαετίας του 1960 από τους B. Dick, J. Peebles et al.

Η πρόβλεψη των θεωρητικών της Μεγάλης Έκρηξης επιβεβαιώθηκε από τους Penzias και Wilson το 1964, οι οποίοι ανίχνευσαν τυχαία την κοσμική ακτινοβολία υποβάθρου, που σύμφωνα με τις πιο πρόσφατες μετρήσεις είναι 2.725 Κ.
Και μια θεωρία γίνεται αποδεκτή όταν οι προβλέψεις της επαληθεύονται πειραματικά
Η μεγάλη ειρωνεία είναι πως
οι Penzias-Wilson δεν ήταν οι πρώτοι που ανακάλυψαν την ακτινοβολία υποβάθρου,
Ο Andrew McKellar ήδη από το 1941, μελετώντας τα φάσματα κυανίου C-N και C-H που περιέχονται στην μεσοαστρική ύλη, απέδειξε πως η θερμοκρασία του σύμπαντος είναι περίπου 2,3 Κ ! (ΕΔΩ και ΕΔΩ)
Και ακόμη μεγαλύτερη ειρωνεία είναι πως ούτε η θεωρία του Big Bang (που εκφραζόταν από τους Gamow, Alpher, Herman και B. Dick, J. Peebles) ήταν η μόνη θεωρία που μπορούσε να προβλέψει την ύπαρξή της κοσμικής ακτινοβολίας υποβάθρου!
Σήμερα ο περισσότερος κόσμος θεωρεί ότι ανακάλυψη της ακτινοβολίας υποβάθρου έδωσε τέλος στη διαμάχη μεταξύ του μοντέλου της Σταθερής Κατάστασης και της Μεγάλης Έκρηξης με επιβεβαίωση του δευτέρου, διότι το ανταγωνιστικό μοντέλο της Σταθερής Κατάστασης δεν έδινε κάποια πρόβλεψη για ενδεχόμενη ακτινοβολία υποβάθρου.
Κι όμως οι επιστήμονες που στήριζαν την αντίπαλη θεωρία της Μεγάλης Έκρηξης, τη θεωρία Σταθερής Κατάστασης Bondi, Gold και Hoyle, το 1955, θα μπορούσαν να φτάσουν στην πρόβλεψη της θερμοκρασίας υποβάθρου – και μάλιστα με πολύ μεγαλύτερη ακρίβεια! [Η θεωρία της σταθερής κατάστασης επιβιώνει μέχρι σήμερα με αρκετές τροποποιήσεις ως κοσμολογία ημιστατικής κατάστασης (Quasi steady state cosmology, QSSC)]
Η συλλογιστική τους θα μπορούσε να είναι μια πολύ καλή άσκηση φυσικής!
Σύμφωνα με το κεφάλαιο «Τhe cosmic microwave background – an historical account» από το βιβλίο των F. Hoyle, G. Burbidge, N. Narlikar, «Α Different Approach to Cosmology»:
Η θεωρία της Σταθερής Κατάστασης θεωρούσε ότι η ποσότητα του στοιχείου ηλίου που παρατηρείται στο σύμπαν (περίπου 24,4% κατά βάρος) δημιουργήθηκε στο εσωτερικό των άστρων. Όμως οι πυρηνικές αντιδράσεις που πραγματοποιούνται στο εσωτερικό των άστρων για να μετατρέψουν το υδρογόνο σε ήλιο είναι εξώθερμες και παράγουν ακτινοβολία
συνοπτικά
4 1H → 4Ηe + Q ( =26,73 MeV)
Oι θεωρητικοί της σταθερής κατάστασης αποδίδουν την μικροκυματική ακτινοβολία υποβάθρου σ’ αυτές τις εξώθερμες πυρηνικές αντιδράσεις σύντηξης.
Αν η παραπάνω υπόθεση είναι σωστή μπορούμε να υπολογίσουμε τη θερμοκρασία του σύμπαντος αν είναι γνωστά:
- η ενέργεια που απελευθερώνεται κατά το σχηματισμό ενός πυρήνα He: Q=26,73 MeV
- η πυκνότητα σύμπαντος: ρ=3×10-31 g/cm3
- και το κλάσμα μάζας του He στο σύμπαν: fHe=0,244
Η ενέργεια που απελευθερώθηκε στο σύμπαν κατά την παραγωγή του He βρίσκεται εύκολα από τη σχέση:

όπου ΝΑ ο αριθμός Avogadro και Μr η γραμμομοριακή μάζα του He.
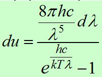
Για να προχωρήσουμε πρέπει να θυμηθούμε τους νόμους που διέπουν την ακτινοβολία του μέλανος σώματος,

δεδομένου ότι η κοσμική ακτινοβολία υποβάθρου έχει όλα τα χαρακτηριστικά αυτής της ακτινοβολίας.
Η κατανομή Planck δίνει την ενέργεια du της ακτινοβολίας του μέλανος σώματος ανά μονάδα όγκου σ’ ένα μικρό εύρος μηκών κύματος από λ έως λ+dλ σύμφωνα με την σχέση

Η ολική ενεργειακή πυκνότητα στην ακτινοβολία του μέλανος σώματος δίνεται από το ολοκλήρωμα

To παραπάνω ολοκλήρωμα υπολογίζεται αριθμητικά και το αποτέλεσμα είναιQ

Αυτός είναι ο νόμος Stefan – Boltzmann.
Αν στην εξίσωση αυτή θέσουμε την τιμή της ενεργειακής πυκνότητας u που υπολογίσαμε σε προηγούμενη εξίσωση και λύσουμε ως προς τη θερμοκρασία Τ, παίρνουμε
Τ= 2,8 Κ
πάρα πολύ κοντά στην θερμοκρασία του σύμπαντος που προσδιορίζεται πειραματικά.
Υπενθυμίζεται ότι οι θεωρητικοί υπολογισμοί σύμφωνα με τη θεωρία της Μεγάλης Έκρηξης των Gamow, Alpher,Herman και αργότερα οι B. Dick, J. Peebles υπολόγιζαν θερμοκρασία 5 έως 10 Κ, ενώ οι Penzias – Wilson μετρούσαν μια θερμοκρασία λίγο μικρότερη των 3 Κ.
Γεννιέται λοιπόν το ερώτημα: Αφού και η θεωρία της σταθερής κατάστασης προέβλεπε και με μεγαλύτερη ακρίβεια την κοσμική ακτινοβολία υποβάθρου, γιατί η ανακάλυψή της θεωρήθηκε πρόβλεψη της θεωρίας της Μεγάλης Έκρηξης;
Η απάντηση δίνεται πάλι στο βιβλίο των F. Hoyle, G. Burbidge, N. Narlikar, «Α Different Approach to Cosmology»:
Ενώ είχαν υπολογίσει το 1955 την ενεργειακή πυκνότητα της εξίσωσης 1, μόνον ο Gold θεωρούσε ότι αυτή στη συνέχεια «θερμοποιήθηκε» δημιουργώντας έτσι το υπόβαθρο της ακτινοβολίας μικροκυμάτων. Οι Bondi και Hoyle υποστήριξαν ότι δεν υπάρχουν αρκετά επιχειρήματα ώστε να στηρίξουν την θερμοποίηση της ακτινοβολίας, οπότε με δυο ψήφους εναντίον μιας χάθηκε μια μεγάλη ευκαιρία για την ανάδειξη της θεωρίας σταθερής κατάστασης.
Άραγε αν οι Bondi, Gold και Hoyle είχαν κάνει το τελευταίο βήμα και δημοσίευαν το αποτέλεσμα – θερμοκρασία σύμπαντος 2,8 Κ – η θεωρία της Μεγάλης Έκρηξης θα είχε περάσει στην ανυποληψία;
Κατηγορίες:ΚΟΣΜΟΛΟΓΙΑ

Άραγε αν οι Bondi, Gold και Hoyle είχαν κάνει το τελευταίο βήμα και δημοσίευαν το αποτέλεσμα – θερμοκρασία σύμπαντος 2,8 Κ – η θεωρία της Μεγάλης Έκρηξης θα είχε περάσει στην ανυποληψία;
Δεν καταλαβαίνω την ερώτηση αυτή στην τελευταία παράγραφο του αρθρου σας και την αντιστρέφω. Άραγε χρειάζονται κι άλλες αποδείξεις για να γίνει πλέον κατανοητό ότι η Θεωρία της Μεγάλης έκρηξης είναι λανθασμένη ;
Σας ευχαριστώ για την απάντηση.
Επιμένω όμως και σας ζητώ μια συγκεκριμένη θέση για την αξία της μελέτης που δημοσιεύσατε στην οποία η απάντησή σας δεν αναφέρεται. Η απάντησής σας φαίνεται να συγκλίνει υπέρ της μεγάλης έκρηξης, τα κείμενά σας όμως αφήνουν το βήμα σας μετέωρο.
Θα επιθυμούσα να με πληροφορήσετε το όνομα το επώνυμο και ει δυνατόν και το e-mail του εκπονίσαντος την πιο πάνω μελέτη, όπως επίσης και το επώνυμο και τη δική σας ιδιότητα.
Η απάντησή σας περιβεβλημένη με το νέφος της ανωνυμίας με θλίβει γιατί με υποχρεώνει να είμαι επικριτικός μαζί σας.
Αδαμόπουλος Μιλτιάδης
τ. Καθηγτής Μαθηματικός
Η εν λόγω ανάρτηση δεν αποτελεί επιστημονική μελέτη. Θα μπορούσε να είναι μια άσκηση φυσικής για πρωτοετείς φοιτητές (με πολύ μεγάλη εκφώνηση εξαιτίας των ιστορικών αναφορών).
Όσον αφορά για το email περιέχεται εδώ:
https://physicsgg.wordpress.com/about/
Επανέρχομαι γιατί δεν πηρα απάντηση στο ερώτημα που σας έθεσα στις 30/01/2012,
Ο ίδιος δεν είμαι Φυσικός και δεν δύναμαι να αξιολογήσω τις δύο θεωρίες, αυτήν της σταθεράς κατάστασης των Bodi, Gold και Hoyle και εκείνην του καθιερωμένου μοντέλου την οποία υπερασπίζεται ο μεγάλος Steven Hawking. Πιστεύω πως η αξιόλογη δουλειά σας στο διαδίκτυο δεν περιορίζεται μόνο σε μεταφράσεις άρθρων ξένων περιοδικών αλλά και ότι υπάρχουν συνάδελφοί σας Φυσικοί οι οποίοι θα μπορούσαν να τοποθετηθούν, ο κ. Τραχανάς πχ του οποίου τις απόψεις σε άλλα θέματα τις δημοσιεύετε (απόψεις για το Spin του ηλεκτρονίου κλπ)
Μήπως οι εραστές του καθιερωμένου μοντέλου τρομοκρατούν τους Φυσικούς
Περιμένω μια δόκιμη απάντηση. ;
Μιλτιάδης Αδαμόπουλος
τ. Καθηγητής -Μαθηματικός
Καταρχάς συγγνώμη για την αβλεψία μου, το σχόλιό σας μου διέφυγε …
Δεν νομίζω ότι υπάρχουν σήμερα φυσικοί (εκτός λίγων εξαιρέσεων) που θα δήλωναν ότι η θεωρία της μεγάλης έκρηξης είναι λανθασμένη. Ούτε υπάρχουν φυσικοί που «τρομοκρατούν» τους συναδέλφους τους με τη θεωρία Big Bang.
Όπως επίσης δεν υπάρχει σοβαρός φυσικός που να ισχυρίζεται ότι η θεωρία της μεγάλης έκρηξης (σε οποιαδήποτε εκδοχή της) είναι μια οριστική και τελική θεωρία που ερμηνεύει τη δημιουργία του κόσμου. Υπάρχουν ακόμη πολλά προβλήματα που πρέπει να επιλυθούν και επιπλέον μπορεί να εμφανιστούν νέα πειραματικά δεδομένα που να οδηγήσουν σε εντελώς διαφορετικές θεωρίες….
Αυτο που εδιωξε απο το προσκηνιο την θεωρια της σταθερης καταστασης δεν ειναι η ανακαλυψη της μικροκυματικης ακτινοβολιας υποβαθρου, αλλα οι παρατηρησεις του Huble για την διαστολη του συμπαντος στις αρχες του 20ου αιωνα.
Το καθιερωμενο προτυπο εχει επαρκως επαληθευτει πειραματικα ουτως ωστε να μην επιδεχεται αμφισβητηση…!!
Καμια νεωτερη θεωρια δεν μπορει να πει οτι ειναι λαθος.. παρα μονο να το περιλαβει ως υποσυνολο της..!!
Ας μην ξεχνάμε και το γεγονός ότι οι θεωρίες(!) της μεγάλης έκρηξης προβλέπουν με απίστευτη ακρίβεια τις αναλογίες των χημικών στοιχείων γύρω μας και παντού στο σύμπαν. Κάτι που καμία από τις θεωρίες (παλιές ή νέες) σταθερής κατάστασης δεν ερμηνεύει.