=================================
(update 5-12-2011 και 8-12-2011)
Tελικά η ανακάλυψη των εξωπλανητών ξεπερνάει σε ταχύτητα και τα νετρίνα του πειράματος OPERA. Πριν στεγνώσει το μελάνι για τον Kepler-21b που μοιάζει στο μέγεθος την Γη, η ΝΑSA ανακοίνωσε την ανακάλυψη του Kepler-22b που είναι ο μεγάλος «αδελφός» της Γης
Oι αστρονόμοι ανακάλυψαν τον πλανήτη Kepler 22-b, σε απόσταση 600 ετών φωτός μακριά από μας, που έχει περίπου 2,4 φορές το μέγεθος της Γης, και θερμοκρασία περίπου 22 Κελσίου. Το ένα έτος του διαρκεί 290 ημέρες και προς το παρόν είναι ο εξωπλανήτης που μοιάζει περισσότερο με τη Γη και θα μπορούσε να φιλοξενεί ζωή – και γι αυτό οι αστρονόμοι τον αποκαλούν Earth 2.0

Η καμπύλη της έντασης φωτός από το μητρικό άστρο Kepler-22. Το βαθούλωμα δείχνει την μείωση της έντασης του φωτός όταν διέρχεται από μπροστά του ο πλανήτης Kepler-22b
Στον πίνακα που ακολουθεί περιέχονται τα χαρακτηριστικά του Κepler 22b και του μητρικού του άστρου Kepler 22.
Aκολουθεί βίντεο σχετικό με την αποστολή Kepler της NASA και την ανακάλυψη του Kepler-22b
======================================
σχετικά με τον Kepler 21b και την αναζήτηση εξωπλανητών (1-12-2011)

Η περιοχή του ουρανού που εξερευνά η αποστολή Kepler. Ο κύκλος υποδεικνύει τη θέση του άστρου HD 179070, γύρω από το οποίο περιστρέφεται ο πλανήτης Kepler-21b.
Η αποστολή Kepler της NASA έχει σχεδιαστεί για να εντοπίσει στον Γαλαξία πλανήτες σαν τη Γη, που βρίσκονται κοντά στην «κατοικήσιμη ζώνη» – την περιοχή σε ένα πλανητικό σύστημα που είναι ευνοϊκή για την ανάπτυξη ζωής . Μέχρι τώρα έχει ανακαλύψει πάνω από χίλιους εξωπλανήτες, με πολύ μεγαλύτερο μέγεθος συγκριτικά με τη Γη. Ο νέος πλανήτης Kepler-21b έχει ακτίνα 1,6 φορές την ακτίνα Γης και η μάζα του δεν υπερβαίνει τις 10 μάζες Γης. Περιστρέφεται πολύ γρήγορα – σε 2,8 ημέρες – γύρω από το μητρικό του άστρο που ονομάζεται HD 179070.

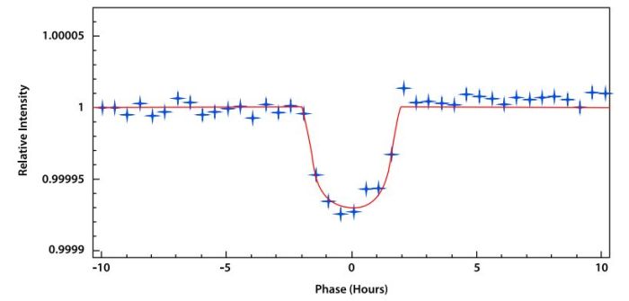
Η καμπύλη της έντασης φωτός από το μητρικό άστρο HD 179070. Το βαθούλωμα δείχνει την μείωση της έντασης του φωτός όταν διέρχεται από μπροστά του ο πλανήτης Kepler-21b
Διαβάστε: Με ποιο τρόπο το τηλεσκόπιο Kepler ψάχνει για εξωπλανήτες
Με μια περίοδο μόνο το 2,8 ημερών, ο Κέπλερ-21b, απέχει μόνο 6 εκατομμύρια χιλιόμετρα από το μητρικό άστρο του.
Συγκριτικά, ο Ερμής ο πλησιέστερος πλανήτης στον ήλιο, έχει μια περίοδο 88 ημερών και απέχει από τον Ήλιο σχεδόν δέκα φορές περισσότερο -57 εκατομμύρια χιλιόμετρα.
Έτσι, ο Κέπλερ 21b είναι πολύ θερμός – υπολογίζεται πως η θερμοκρασία στην επιφάνεια του πλανήτη είναι περίπου 1900 K.
Κατηγορίες:ΑΣΤΡΟΝΟΜΙΑ, ΑΣΤΡΟΦΥΣΙΚΗ, ΕΞΩΠΛΑΝΗΤΕΣ



Σχολιάστε