Σε παλαιότερη ανάρτηση διερευνώντας το ερώτημα «πώς μπορεί κανείς να διαφύγει από πεδίο βαρύτητας με επιτόπιο άλμα» υπολογίστηκε η ταχύτητα διαφυγής από έναν αστεροειδή ή έναν πλανήτη ακτίνας R και πυκνότητας ρ

Αλλά τι σημαίνει ακριβώς ταχύτητα διαφυγής;
Έστω ότι κάποιο σώμα εκτοξεύεται από την επιφάνεια ενός πλανήτη (χωρίς ατμόσφαιρα). Αν η αρχική ταχύτητα του σώματος είναι μικρότερη της ταχύτητας διαφυγής
(υ < υδ), τότε το σώμα θα φτάσει σε ένα μέγιστο ύψος, όπου η ταχύτητά του θα μηδενιστεί και στη συνέχεια θα επιστρέψει στην επιφάνεια του πλανήτη.
Αν εκτοξευθεί με ταχύτητα μεγαλύτερη της ταχύτητας διαφυγής
(υ > υδ), τότε το σώμα θα φτάσει σε άπειρη απόσταση από τον πλανήτη, με κάποια ταχύτητα,
ενώ αν εκτοξευθεί με ταχύτητα ίση με την ταχύτητα διαφυγής
(υ = υδ), θα φτάσει σε άπειρη απόσταση με ταχύτητα ίση με το μηδέν (ακριβώς!)
Αν λύσουμε την αρχική εξίσωση ως προς την πυκνότητα παίρνουμε

όπου θέσαμε υδ/R=Η.
Αν στην παραπάνω εξίσωση θεωρήσουμε ότι Η είναι η σταθερά του Hubble, τότε η πυκνότητα που παίρνουμε είναι η ΚΡΙΣΙΜΗ ΠΥΚΝΟΤΗΤΑ του σύμπαντος!
Ας δούμε στη συνέχεια – για του λόγου το αληθές – πως προσδιορίζεται η κρίσιμη πυκνότητα του σύμπαντος και ποιο είναι το φυσικό της νόημα, σύμφωνα με το καθιερωμένο πρότυπο τη μεγάλης έκρηξης…..
Η βασικότερη υπόθεση του καθιερωμένου προτύπου της μεγάλης έκρηξης είναι ότι το σύμπαν είναι και ήταν πάντα ομογενές και ισοτροπικό. Η γενική θεωρία της σχετικότητας που αποτελεί το υπόβαθρο κάθε προτύπου μεγάλης έκρηξης εφαρμόζεται και στο καθιερωμένο πρότυπο.
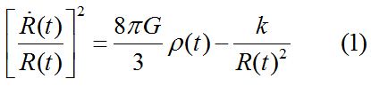
Η επίλυση των εξισώσεων πεδίου του Einstein γίνεται θεωρώντας την ομογενή και ισότροπη μετρική Robertson-Walker. Oι εξισώσεις Einstein προβλέπουν την εξέλιξη του παράγοντα κλίμακος (scale factor) R(t). Ο παράγοντας κλίμακος περιγράφει την χρονική εξάρτηση κάθε τυπικού μήκους, όπως για παράδειγμα την απόσταση μεταξύ δυο γαλαξιών, και ικανοποιεί την εξίσωση:

όπου G η σταθερά της παγκόσμιας έλξης και ρ(t) η ενεργειακή πυκνότητα του σύμπαντος. Ο γεωμετρικός παράγοντας k παίρνει τις τιμές k=0, +1 και -1, που καθορίζουν την γεωμετρία και την εξέλιξη του σύμπαντος.
Η τιμή k=0 αντιστοιχεί στην μετρική του επίπεδου ευκλείδειου χώρου, η οποία περιγράφει το επίπεδο σύμπαν.
Η τιμή k=+1 αντιστοιχεί στην γεωμετρία τρισδιάστατης σφαίρας και περιγράφει το κλειστό σύμπαν
Η τιμή k=-1 αντιστοιχεί στη γεωμετρία μιας υπερεπιφάνειας στο χώρο Minkowski και περιγράφει το ανοιχτό σύμπαν.
Αν το σημερινό σύμπαν περιγράφεται από την παραπάνω εξίσωση, τότε κατά το παρελθόν πρέπει να διήλθε από μια φάση πολύ μικρότερου μεγέθους, πολύ μεγαλύτερης πυκνότητας και πολύ μεγαλύτερης θερμοκρασίας.
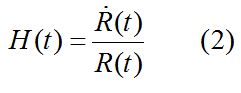
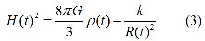
Θεωρώντας ότι

(ο ορισμός της σταθεράς του Hubble), τότε η αρχική εξίσωση γράφεται

Αν θέσουμε στην παραπάνω εξίσωση k=0 (επίπεδο σύμπαν), παίρνουμε την τιμή της κρίσιμης πυκνότητας συναρτήσει της σταθεράς Hubble και της σταθεράς της παγκόσμιας έλξης:

Η εξίσωση (4) είναι πανομοιότυπη με την εξίσωση που υπολογίστηκε χρησιμοποιώντας απλούστατη φυσική, γιατί τελικά η εξέλιξη του σύμπαντος είναι παρόμοια με την μοίρα ενός σώματος που προσπαθεί να διαφύγει από κάποιο πεδίο βαρύτητας.
Αν θεωρήσουμε ότι η σταθερά Hubble είναι 70 km s-1Mpc-1, τότε η κρίσιμη πυκνότητα είναι περίπου 10-29g/cm3.
Όμως το μέγεθος που χρησιμοποιούν οι κοσμολόγοι για την περιγραφή της εξέλιξης του σύμπαντος είναι η αδιάστατη παράμετρος πυκνότητας Ω, που ορίζεται από την εξίσωση:
Ω=ρ/ρc
όπου ρ η σημερινή πυκνότητα του σύμπαντος
Η εξίσωση 3 γράφεται
Σύμφωνα με την παραπάνω εξίσωση ανάλογα με τις τιμές του γεωμετρικού παράγοντα k=+1, -1, 0, προκύπτουν οι τρεις πιθανές περιπτώσεις εξέλιξης του σύμπαντος σε σχέση με την παράμετρο πυκνότητας:
(α) η πυκνότητα του σύμπαντος είναι μεγαλύτερη από την κρίσιμη πυκνότητα του σύμπαντος ή Ω>1: το σύμπαν θα σταματήσει να διαστέλλεται και θα αρχίσει η συστολή του.
(β) η πυκνότητα του σύμπαντος είναι μικρότερη από την κρίσιμη πυκνότητα ή Ω<1: το σύμπαν θα διαστέλλεται συνεχώς με πεπερασμένο ρυθμό διαστολής.
(γ) η πυκνότητα του σύμπαντος είναι ίση με την κρίσιμη πυκνότητα ή Ω=1: το σύμπαν θα συνεχίσει να διαστέλλεται επ’ άπειρο, αλλά ο ρυθμός διαστολής του θα τείνει στο μηδέν.
Κατηγορίες:ΚΟΣΜΟΛΟΓΙΑ, ΣΥΜΠΑΝ
Να προτείνω και πάλι κάτι σχετικό που είχα γράψει λίγο πιο παλιά. Ενδιαφέρουσα σύμπτωση πάντως.
Πάντως, μπράβο γενικά. Πιάνεις ωραία θεματάκια.
νάσαι καλά … και να συνεχίσεις να προτείνεις