![]() |
| Τζέιμς Κλερκ Μάξγουελ |
Στο μάθημα του ηλεκτρομαγνητισμού δυο είναι οι σταθερές που βασανίζουν τους μαθητές όταν λύνουν ασκήσεις,
η σταθερά του ηλεκτρισμού (που εμφανίζεται π.χ. στον νόμο του Coulomb)
και η σταθερά του μαγνητισμού (που εμφανίζεται π.χ. στον υπολογισμό της έντασης του μαγνητικού πεδίου ευθύγραμμου ή κυκλικού ρευματοφόρου αγωγού)
Km = 10-7 N/A2
Τα παραπάνω δημιουργούν την πρώτη (αλγεβρική) υποψία της σχέσης του φωτός με το ηλεκτρικό και το μαγνητικό πεδίο. Το φως πράγματι είναι ένα ηλεκτρομαγνητικό κύμα και αυτό προκύπτει από τις εξισώσεις Maxwell.
Μέχρι τον 19ο αιώνα οι επιστήμονες θεωρούσαν την ηλεκτρική και τη μαγνητική δύναμη ως δυο τελείως διαφορετικές δυνάμεις. Οι εξισώσεις Maxwell σηματοδότησαν και την πρώτη ενοποίηση δυνάμεων. Το ηλεκτρικό και το μαγνητικό πεδίο – που ευθύνονται για την ηλεκτρική και τη μαγνητική δύναμη – απεδείχθη ότι αποτελούν τις δύο όψεις του ιδίου νομίσματος. (Ας σημειωθεί ότι η πρώτη ενοποίηση δυνάμεων επετεύχθη ακριβώς πριν από 150 χρόνια, το 1861 με την δημοσίευση του άρθρου «On physical lines of force» από τον σκωτσέζο φυσικό James Clerk Maxwell).
Στις εξισώσεις Maxwell συμπυκνώνονται όλοι οι νόμοι που συναντάμε στον ηλεκτρομαγνητισμό:
Eξίσωση 1η: Πρόκειται για το νόμο του Gauss για το ηλεκτρικό πεδίο, σύμφωνα με τον οποίο η ηλεκτρική ροή μέσα από μια κλειστή επιφάνεια είναι ανάλογη με το συνολικό φορτίο Qin που περικλείει η επιφάνεια.
Η διαφορική μορφή του νόμου του Gauss είναι:
και η φυσική σημασία της παραπάνω μορφής είναι ότι συνδέει το ηλεκτρικό πεδίο Ε σε κάποιο σημείο του χώρου με την κατανομή φορτίου, που εκφράζεται με την πυκνότητα ρ, στο ίδιο σημείο του χώρου. Εκφράζει δηλαδή, μια τοπική σχέση μεταξύ των δυο αυτών φυσικών ποσοτήτων. Έτσι μπορούμε να πούμε ότι τα ηλεκτρικά φορτία είναι οι πηγές του ηλεκτρικού πεδίου και ότι η κατανομή και το μέγεθός τους ορίζουν το ηλεκτρικό πεδίο σε κάθε σημείο του χώρου.
Εξίσωση 2η:Είναι ο νόμος του Gauss για το μαγνητικό πεδίο
Η μαγνητική ροή που διέρχεται μέσα από μια κλειστή επιφάνεια είναι πάντοτε μηδέν. Και αυτό είναι συνέπεια του γεγονότος ότι οι μαγνητικές δυναμικές γραμμές είναι κλειστές (αφού δεν υπάρχουν μαγνητικά μονόπολα). Η διαφορική μορφή θα είναι:
Εξίσωση 3η: Είναι ο νόμος του Faraday-Henry ή νόμος της επαγωγήςσύμφωνα με τον οποίο, ένα μαγνητικό πεδίο που μεταβάλλεται με τον χρόνο δημιουργεί ηλεκτρικό πεδίο, τέτοιου ώστε η κυκλοφορία του (αλλιώς, η ηλεκτρεγερτική δύναμη) κατά μήκος ενός αυθαίρετου κλειστού δρόμου, να ισούται με τον (αρνητικό) ρυθμό μεταβολής της μαγνητικής ροής μέσα από μια επιφάνεια που ορίζεται από τον δρόμο
Σε διαφορική μορφή γράφεται
H 3η εξίσωση μας λέει ότι μεταβαλλόμενο μαγνητικό πεδίο δημιουργεί μεταβαλλόμενο ηλεκτρικό πεδίο.
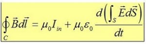
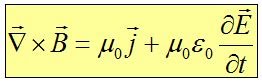
Εξίσωση 4η: Πρόκειται για το νόμο Ampere-Maxwell. Ο νόμος του Ampere συσχετίζει ένα ηλεκτρικό ρεύμα με το μαγνητικό πεδίο που παράγει. Ο νόμος Ampere-Maxwell πηγαίνει ένα βήμα μακρύτερα και υποδεικνύει ότι στο μαγνητικό πεδίο συνεισφέρει επίσης και ένα μεταβαλλόμενο ηλεκτρικό πεδίο.
Η διαφορική μορφή
συσχετίζει το μαγνητικό πεδίο Β, το ηλεκτρικό πεδίο Ε και την πυκνότητα ρεύματος j στο ίδιο σημείο του χώρου. Ο δεύτερος όρος στην 4η εξίσωση είναι συνεισφορά του Maxwell και αποτελεί το περίφημο ρεύμα μετατόπισης. Μας λέει ότι το μεταβαλλόμενο ηλεκτρικό πεδίο δημιουργεί μεταβαλλόμενο μαγνητικό πεδίο.
Το μεταβαλλόμενο μαγνητικό πεδίο με τη σειρά του (λόγω της εξίσωσης 3) δημιουργεί μεταβαλλόμενο ηλεκτρικό πεδίο κ.ο.κ.
Με λίγα λόγια το ηλεκτρομαγνητικό πεδίο μπορεί να «αυτοσυντηρηθεί» χωρίς να χρειάζεται την ύπαρξη της αρχικής πηγής του, του φορτίου και του ρεύματος….
Κατηγορίες:ΗΛΕΚΤΡΟΜΑΓΝΗΤΙΣΜΟΣ











Πολύ ωραίο και κατανοητό!