Στην φωτογραφία ο Ενρίκο Φέρμι γράφει στον πίνακα. Στα γραφόμενά του υπάρχει ένα τρομερό λάθος, λάθος που δεν κάνει ούτε ο χειρότερος φοιτητής της Φυσικής! Παρατηρείστε προσεκτικά. Μπορείτε να εντοπίσετε το λάθος; ………………………………………………………………………………..
………………………………………………………………………………..
……………………………………………………………………………….. ……………………………………………………………………………….
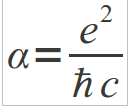
….. Ακριβώς πάνω από το κεφάλι του Φέρμι βρίσκεται η εξίσωση
που – υποτίθεται – παριστάνει τη σταθερά λεπτής υφής.
Όμως, η σωστή μορφή της είναι η
Τίθεται εύλογα το ερώτημα. Είναι δυνατόν ο μέγας φυσικός Φέρμι να κάνει τέτοιo λάθος;
Όχι βέβαια! Απλά πρόκειται για ένα αστείο που αντιλαμβάνονται μόνο οι φυσικοί!
Η ειρωνεία είναι ότι η φωτογραφία αυτή χρησιμοποιήθηκε για τη δημιουργία γραμματοσήμων, που κυκλοφόρησαν προς τιμήν του Φέρμι, μετά το θάνατό του.
Κατηγορίες:ΙΣΤΟΡΙΑ, ΚΒΑΝΤΙΚΗ ΘΕΩΡΙΑ




Μεταβαλλομενη τιμη «σταθερας» λεπτης υφης… 🙂 ωραιος…