πηγή: http://www.europecomics.com/album/1-justice-fresh-vegetables/
ΧΙΟΥΜΟΡ
Πρόβατα, Ποίηση και Κβαντική Φυσική
Το 2002, μια συγγραφέας από την βόρεια Αγγλία, η Valery Laws, έλαβε μια επιχορήγηση ύψους 2.000 στερλινών (!!!) για να χρησιμοποιήσει πρόβατα με σκοπό την δημιουργία «τυχαίας» ποίησης». Βρήκε ένα κοπάδι προβάτων και στην πλάτη κάθε ζώου έγραψε με σπρέι… Read More ›
Το σπάσιμο του πρωτονίου
Το ανεπίσημο τραγούδι για το Halloween (βασισμένο στο Monster Mash του Bobby Pickett) με τίτλο The Proton Smash, από τους φυσικούς του εργαστηρίου Fermilab: I was working in the lab late one night When my eyes beheld a glorious sight… Read More ›
Ποιος βραβεύθηκε με το Ig Nobel Φυσικής 2018;
Mε σύνθημα «πρώτα σε κάνουν να γελάσεις, μετά να σκεφθείς», τα βραβεία Ig απονέμονται από το χιουμοριστικό επιστημονικό περιοδικό «Annals of Improbable Research». Τα βραβεία Νόμπελ της τρελής επιστήμης 2018 (Ig Nobel) δίνονται σε αντισυμβατικές (και πολλές φορές άχρηστες) μελέτες… Read More ›
Νέα έρευνα δείχνει ότι η εξέλιξη ευνοεί την επιβίωση του «τεμπέλη»
Μια νέα μελέτη σχετική με τα δίθυρα και τα γαστερόποδα του Ατλαντικού Ωκεανού, μαζί με διάφορα απολιθώματα οργανισμών που πλέον έχουν εξαφανιστεί, δείχνει πως η τεμπελιά μπορεί να είναι μια εποικοδομητική στρατηγική για την επιβίωση των ατόμων, των ειδών κι ακόμα των κοινοτήτων… Read More ›
Επανέρχεται το μάθημα της Αστρονομίας στο Λύκειο
Ο υπουργός Παιδείας Κώστας Γαβρόγλου θα καταθέσει αμέσως μετά το Πάσχα μια τροπολογία η οποία θα επαναφέρει το μάθημα της «Αστρονομίας- Στοιχεία Διαστημικής» στο Λύκειο από το επόμενο σχολικό έτος. Η απόφαση αυτή λήφθηκε μετά από μακρά συνομιλία που είχε… Read More ›
Μια γκάφα αστρονομικών διαστάσεων
O Peter Dunsby είναι καθηγητής κοσμολογίας στο τμήμα μαθηματικών στο πανεπιστήμιο του Cape Town, αλλά είναι γνωστός και από τις εντυπωσιακές φωτογραφίες του νυχτερινού ουρανού που δημοσιεύει ΕΔΩ:www.instagram.com/explore/tags/astrocapetown/. Έτσι, ξημερώματα της περασμένης Τρίτης παρατηρώντας τον νυχτερινό ουρανό εντόπισε ένα φωτεινό… Read More ›
Ο αριθμός π και η προσέγγισή του 22/7
Μια από τις πιο γνωστές προσεγγίσεις του αριθμού π είναι το κλάσμα 22/7 που χρησιμοποιήθηκε για πρώτη φορά από τον Αρχιμήδη. Με ένα απλό κομπιουτεράκι μπορούμε να δούμε ότι 22/7=3,142857>π=3,14159… Αν όμως δεν γνωρίζαμε τα πρώτα ψηφία του π, θα… Read More ›
Πετώντας με μια ηλεκτρική σκούπα στο διάστημα
Οι κακές μάγισσες πετάνε με σκούπες και οι αστροναύτες με ηλεκτρικές σκούπες Ο Ρώσος κοσμοναύτης Anton Shkaplerov μας δείχνει τι παραπάνω μπορεί κανείς να πετύχει με μια ηλεκτρική σκούπα στον Διεθνή Διαστημικό Σταθμό. Eκτός από το να καθαρίζει μπορεί και… Read More ›
Συγκεντρώνει 1 εκατ. δολάρια για να αποδείξει ότι η Γη είναι επίπεδη
Ποιος; Ο αμερικανός ράπερ B.o.B. (Bobby Ray Simmons) Στο παρελθόν ο διάσημος μπασκετμπολίστας του ΝΒΑ, Shaquille O’Neal, είχε δηλώσει σε συνέντευξη τύπου ότι η Γη είναι επίπεδη – κάτι που στη συνέχεια αναίρεσε ισχυριζόμενος πως έκανε πλάκα. Όμως ο ράπερ… Read More ›
Μια αυτοκινούμενη πατάτα
Είναι γνωστό πως μπορούμε να πάρουμε ηλεκτρικό ρεύμα χρησιμοποιώντας ως μπαταρίες πατάτες, λεμόνια, μπανάνες κ.ο.κ. Όταν βυθίζουμε δυο μεταλλικά ελάσματα (ηλεκτρόδια) από χαλκό και από ψευδάργυρο μέσα σε μια πατάτα, τότε μπορούμε να τροφοδοτήσουμε με ηλεκτρικό ρεύμα ένα μικρό λαμπάκι…. Read More ›
Ανυπόφορες γραμμές
Η μετάβαση από το Α στο Β δεν είναι πάντα ευθεία. Μπορεί όμως να είναι πολύ καλή διασκέδαση: aeon.co/videos
Γάτες, τα εφτάψυχα ρευστά (Ig Νόμπελ Φυσικής)
Τα βραβεία Νόμπελ της τρελής επιστήμης 2017 (Ig Nobel) Oι γάτες μπορεί να απεχθάνονται τα υγρά, έχουν όμως την ικανότητα να συμπεριφέρονται οι ίδιες ως υγρά, παίρνοντας το σχήμα του δοχείου στο οποίο εισέρχονται. Έτσι ο Marc-Antoine Fardin από το… Read More ›
Νέο Λύκειο, μερικά χρόνια μετά
Οι καθηγητές καλούν τον πατέρα μιας μαθήτριας στο σχολείο για να τον ενημερώσουν σχετικά με την παραβατική συμπεριφορά της κόρης του: To παραπάνω απόσπασμα είναι από την ταινία «Interstellar» που διαδραματίζεται σε μια εποχή όπου το περιβάλλον της Γης σιγά-σιγά… Read More ›
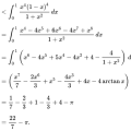
22/7: ημέρα προσέγγισης του αριθμού π
Ενώ η 14η Μαρτίου (3/14) έχει καθιερωθεί ως η παγκόσμια ημέρα του αριθμού π, η 22η Ιουλίου (22/7) θεωρείται ως η παγκόσμια ημέρα προσέγγισης του αριθμού π. Ο λόγος 22/7 χρησιμοποιήθηκε ως προσέγγιση του αριθμού π για πρώτη φορά από… Read More ›
Μετρώντας μπεερυόνια
Τα πρόβατα του CERN Μια βουκολική ατμόσφαιρα κυριαρχεί στο CERN, κοντά στο πείραμα ATLAS. Εβδομήντα πρόβατα και δυο κριάρια βόσκουν ανάμεσα στα κτίρια του Ευρωπαϊκού Κέντρου Πυρηνικών Ερευνών. Το κοπάδι του Enrico D’Ippolito απολαμβάνει το γρασίδι γύρω από το πείραμα… Read More ›
Πόσα σωματίδια περιέχονται στο σύμπαν;
H απάντηση που δίνει το Numberphile – όπως θα διαπιστώσετε παρακολουθώντας το βίντεο που ακολουθεί – είναι ότι στο σύμπαν περιέχονται 3,28·1080 σωματίδια! Στον υπολογισμό θεωρούνται τα σωματίδια της γνωστής μας ύλης και όχι της σκοτεινής ύλης. Αλλά το βίντεο… Read More ›
Πώς μια γάτα ανακάλυψε νέο είδος πλαστικού
Ουάσινγκτον Ο βαυαρός χημικός Άντολφ Σπίτελερ ήταν τυχερός που κρατούσε μια γάτα στο εργαστήριό του στα τέλη του 19ου αιώνα: το κατοικίδιο ανακάλυψε πώς μπορεί κανείς να μετατρέψει το απλό γάλα σε επαναστατικό νέο πλαστικό. Ήταν το πλαστικό καζεΐνης, γνωστό… Read More ›
Δεν έχουμε ιδέα: Ένας οδηγός για το άγνωστο σύμπαν
(νεώτερη ενημέρωση 28/9/2020) Πρόκειται για το βιβλίο με τίτλο «We have no idea» των Jorge Cham και Daniel Whiteson – δημιουργός των PHD Comics ο πρώτος και φυσικός στοιχειωδών σωματιδίων ο δεύτερος. Θα θέλατε να μάθετε πως γεννήθηκε το σύμπαν, από τι είναι… Read More ›
Η σταθερά λεπτής υφής και το απόλυτο μηδέν
Σχετικά με την κβαντική θεωρία της θερμοκρασίας του απολύτου μηδενός Το 1931 δημοσιεύθηκε στο επιστημονικό περιοδικό Die Naturwissenschaften, ένα πολύ σύντομο άρθρο των G. Beck, H. Bethe (βραβείο Νόμπελ Φυσικής 1956), και W. Riezler: Ακολουθεί (με πλάγια γράμματα) μια πρόχειρη απόδοση στα… Read More ›
Η αρνητική μάζα θα ήταν πολύ διασκεδαστική
… αν υπήρχε Πριν από μερικές μέρες φυσικοί του Πανεπιστημίου της Ουάσιγκτον ανακοίνωσαν πως δημιούργησαν στο εργαστήριο αρνητική μάζα (Negative mass’ created at Washington State University). Προφανώς δεν ανίχνευσαν, ούτε δημιούργησαν σωματίδια με αρνητική μάζα, έκαναν όμως το υπερρευστό ρουβίδιο… Read More ›
Η θεωρία χορδών των παπουτσιών
… εξηγεί γιατί ξεδένονται τα κορδόνια Την επόμενη φορά που τα κορδόνια των παπουτσιών σας θα λυθούν ξανά από μόνα τους, παρηγορηθείτε με τη σκέψη ότι έχετε να αντιμετωπίσετε ανώτερες δυνάμεις της φύσης. Αυτό είναι το «μήνυμα» μιας νέας μελέτης… Read More ›
Τα «βαρυτικά κύματα» που ανίχνευσε το LIGO αποδείχθηκε πως ήταν απλοί σεισμοί
Η ιστορία δυστυχώς επαναλαμβάνεται. Όπως ο Joseph Weber το 1969 ανακοίνωσε λανθασμένα ότι ο ανιχνετυτής του κατέγραφε γεγονότα που αντιστοιχούσαν σε βαρυτικά κύματα, έτσι και το πείραμα LIGO τελικά κατέγραφε ταπεινά γήινα σεισμικά κύματα αντί για βαρυτικά κύματα από την συγχώνευση… Read More ›
Έμαθαν στις μέλισσες να παίζουν μπάλα
Βρετανοί ερευνητές έμαθαν σε μέλισσες να παίζουν ποδόσφαιρο και να βάζουν γκολ. Και επιπλέον, διαπίστωσαν ότι τα έντομα ήσαν τόσο έξυπνα που, βλέποντας τα άλλα να παίζουν μπάλα, καταλάβαιναν γρήγορα κι εκείνα τι έπρεπε να κάνουν. Oι μέλισσες απέδειξαν για… Read More ›
Η άγνωστη ιστορία της πρώτης γάτας που πήγε στο διάστημα
Στις 18 Οκτωβρίου 1963, το Εθνικό Κέντρο Μελετών της Γαλλίας είχε προγραμματίσει την αποστολή στο διάστημα ενός μικρού γάτου που τον έλεγαν Φελίξ. Οι Γάλλοι με το εγχείρημα αυτό έμπαιναν σφήνα στον χορό του διαστημικού ανταγωνισμού ανάμεσα στους Αμερικανούς και… Read More ›
Πάρτι Φυσικών
via Aλ.Αν
Μια πίτα στο διάστημα
Μια κρεατόπιτα τοποθετήθηκε σε ένα μετεωρολογικό μπαλόνι κι έφτασε στο διάστημα. Είναι η πρώτη φορά που ένα τέτοιο αντικείμενο φτάνει στην στρατόσφαιρα. Υποτίθεται πως ο σκοπός του εγχειρήματος αυτού είναι για να δούμε πως επηρεάζεται η δομής της πίτας κατά… Read More ›
Ένα καρπούζι πέφτει από ύψος 45 μέτρα
… «φορώντας αλεξίσφαιρο γιλέκο»
FERIR: το νέο σωματίδιο που ανακαλύφθηκε στο CERN
Το CERN μόλις ανακοίνωσε την ανακάλυψη ενός νέου σωματιδίου, το οποίο ονομάστηκε «FERIR». Δεν είναι ένα θεμελιώδες σωματίδιο της ύλης όπως το μποζόνιο Higgs, αλλά μια επινόηση των οικονομολόγων. Και το εν λόγω CERN δεν είναι το γνωστό ερευνητικό εργαστήριο… Read More ›
«Τι ζώδιο είστε;»
(μια από τις πιο χαζές ερωτήσεις στον κόσμο) Η παλιά ιστορία με τις ημερομηνίες των ζωδίων εμφανίστηκε ξανά στο προσκήνιο. Αυτή τη φορά όλα ξεκίνησαν όταν το Cosmopolitan, με αφορμή ένα άρθρο για παιδιά σε blog της NASA, θεώρησε πως η NASA… Read More ›
Τα βραβεία Νόμπελ της τρελής επιστήμης 2016 (Ig Nobel)
Aπονεμήθηκαν και φέτος τα βραβεία Νόμπελ Ig ή «Νόμπελ της τρελής επιστήμης», τα οποία αναδεικνύουν τις πιο περίεργες, άχρηστες, απρόβλεπτες ή και αστείες επιστημονικές ανακαλύψεις της χρονιάς. Πρόκειται για ανακαλύψεις που πρώτα κάνουν τους ανθρώπους να γελάσουν και στη συνέχεια… Read More ›
Κονιάκ υψηλής ποιότητας στο μνημόσυνο της υπερσυμμετρίας
(νεώτερη ενημέρωση) Οι φυσικοί που συναντήθηκαν σήμερα στην Κοπεγχάγη διευθέτησαν ένα στοίχημα που είχε τεθεί πριν από 16 χρόνια. Το 2000, όταν άρχισε η κατασκευή του Μεγάλου Επιταχυντή Αδρονίων (LHC) στο CERN – ο μεγαλύτερος μεγαλύτερος επιταχυντής σωματιδίων στον κόσμο… Read More ›
Ένα καλοκαιρινό τεστ φυσικής
Αν απαντήσετε και τις 13 ερωτήσεις του τεστ (επιλεγμένες από http://www.aqa.org.uk), τότε σύμφωνα με τον δημιουργό του μάλλον θα είστε φυσικός! Για να ξεκινήσει το τεστ κάντε κλικ στην παρακάτω εικόνα:
Βίντεο δείχνει «ανθρωποθυσία» στις εγκαταστάσεις του CERN
Τον Ιούνιο του 2004 τοποθετήθηκε στο CERN ένα άγαλμα ύψους δυο μέτρων που παριστάνει την ινδουιστική θεότητα Σίβα. Το άγαλμα ήταν ένα δώρο από την Ινδία, στο πλαίσιο της μακράς συνεργασία μεταξύ CERN – Ινδίας που ξεκίνησε το 1960. Το… Read More ›
Στατιστικό λάθος αντί για νέο σωματίδιο
… ήταν το «καρούμπαλο» στα 750 GeV Πολλοί φυσικοί των υψηλών ενεργειών περίμεναν ότι πίσω από την μη-αναμενόμενη κορυφή στην ενέργεια των 750 GeV που εμφανίστηκε πέρυσι στα δεδομένα του LHC κρύβεται νέα φυσική. Η κορυφή αυτή έδειχνε αυξημένη παραγωγή δυο… Read More ›
Oι φυσικοί που έβλεπαν τις ακτίνες Ν
Οι ανακαλύψεις της πειραματικής φυσικής προς τo τέλος του 19ου αιώνα ήταν καταιγιστικές. Οι ακτίνες Χ ανακαλύφθηκαν από τον W. Röntgen το 1895, η ραδιενέργεια από τον H. Becquerel το 1896, το ηλεκτρόνιο από τον J. J. Thomson το 1897… Read More ›
Υποψήφιος «πιάστηκε» με κινητό σε εξεταστικό κέντρο
«Απόλυτη ησυχία επικρατούσε στην αίθουσα εξεταστικού κέντρου του Βόλου καθώς οι υποψήφιοι ήταν προσηλωμένοι στα γραπτά τους. Και ξαφνικά ο ήχος εισερχόμενης κλίσης κινητού ακούστηκε μέσα στην αίθουσα. Ένας υποψήφιος ξέχασε το κινητό του στην τσέπη και επιπλέον δεν το είχε καν στο αθόρυβο…. Read More ›
Shannon: ο ζογκλέρ της θεωρίας της πληροφορίας
O Claude Shannon (1916 – 2001) υπήρξε ο θεμελιωτής της θεωρίας της πληροφορίας με το κλασικό άρθρο του «A Mathematical Theory of Communication» , που δημοσιεύθηκε το 1948. Πρόκειται για ένα άρθρο με το οποίο ο Shannon μεταμόρφωσε ριζικά κάθε πτυχή της επικοινωνίας τόσο στη… Read More ›
Η μαθηματική εξίσωση του Πάσχα
Η εξίσωση που υπολογίζει την ημερομηνία του ορθοδόξου Πάσχα Έστω Ε= το έτος που θέλουμε να προσδιορίσουμε την ημερομηνία του ορθοδόξου Πάσχα, τότε το Πάσχα εορτάζεται την πρώτη Κυριακή μετά την Xη Απριλίου όπου το X υπολογίζεται από την εξίσωση:Στο ένθετο… Read More ›
Αυξάνεται η εξεταστέα ύλη στo μάθημα της φυσικής
Η ηγεσία του υπουργείου παιδείας, έστω και αργά, συνειδητοποίησε ότι οι μαθητές που φέτος τελειώνουν το Λύκειο, δεν έχουν διδαχθεί ούτε ηλεκτρομαγνητισμό , ούτε τον νόμο της βαρύτητας , ούτε αστρονομία. Για να καλύψει λοιπόν τα κενά των μαθητών, εφόσον καταργήθηκε και το μάθημα… Read More ›
Πόσο γρήγορα μπορεί να πιεί το αίμα σας ένα βαμπίρ
… σύμφωνα με τη δυναμική των ρευστών Είναι γεγονός πως τα τελευταία χρόνια οι ταινίες και τα σίριαλ με θέμα τα βαμπίρ αναπάντεχα γνωρίζουν τεράστια επιτυχία, κυρίως στο νεανικό κοινό, ένα φαινόμενο που μόνο η ψυχανάλυση μπορεί να εξηγήσει. Γοητευμένοι από… Read More ›
Γιατί ο λόγος των μαζών πρωτονίου – ηλεκτρονίου ισούται με …
… 6π5 ; Στη φυσική πολλές φορές ξαφνιάζει το γεγονός ότι η τιμή μιας αδιάστατης φυσικής σταθεράς που μετρήθηκε πειραματικά, προκύπτει ως συνδυασμός γνωστών μαθηματικών σταθερών, όπως ο αριθμός π=3,141592… ή ο αριθμός e=2,718281828… Χαρακτηριστικό παράδειγμα είναι o λόγος της μάζας… Read More ›
Βίντεο: Ο Hawking παίζει κβαντικό σκάκι
… εναντίον του Paul Rudd O ηθοποιός Keanu Reeves από το …. έτος 2716 επικοινωνεί με τον Paul Rudd, πρωταγωνιστή της ταινίας Ant-Man, ο οποίος στη συνέχεια εμπλέκεται σε ανηλεή αγώνα … κβαντικού σκακιού με τον Stephen Hawking, σ’ ένα παιχνίδι με υψηλό διακύβευμα… Read More ›
Ο γάτος του Αϊνστάιν
Eίναι γεγονός ότι τα κατοικίδια ζώα ενέπνευσαν πολλούς μεγάλους φυσικούς. Για παράδειγμα, η πρώτη επαφή του Νικολά Τέσλα με τον ηλεκτρισμό, όταν ήταν παιδί ακόμα, οφειλόταν στον Macak, έναν γάτο περσικής ράτσας. Χαϊδεύοντας το πλούσιο τρίχωμα του γάτου δημιουργήθηκαν ξαφνικά… Read More ›
Δημιούργησε ο Θεός το σύμπαν;
Κανένας Ισλανδός(κάτω από 25 ετών) δεν πιστεύει πως ο Θεός δημιούργησε το σύμπαν Μόλις το 18% των Ισλανδών πιστεύει σήμερα πως ο Θεός έφτιαξε τον κόσμο, σύμφωνα με έρευνα που έγινε στη χώρα. Την ίδια ώρα, το 62% στρέφεται στην… Read More ›
H καθημερινότητα των υπερ-ηρώων
O Daniel Picard, Καναδός φωτογράφος και γραφίστας φωτογραφίζει τους υπέρ-ήρωες σε στιγμές της καθημερινότητας τους: Πως τα φωτογραφίζει όλα αυτά ο Daniel Picard; Οι υπέρ-ήρωες είναι απλά …. παιδικές μινιατούρες (action figures) ύψους μερικών εκατοστών που κατόπιν τις έχει περάσει από photoshop και ψηφιακή επεξεργασία… Read More ›
Δημιουργήθηκε χρυσός που επιπλέει στον αφρό
Ο νέος χρυσός αποτελείται από 98 μέρη αέρα και δύο μέρη στερεού υλικού και είναι χίλιες φορές πιο ελαφρύς από τον κανονικό χρυσό. Επιστήμονες στην Ελβετία δημιούργησαν χρυσό ελαφρύ σαν αφρό, που επιπλέει στο νερό. Αν και είναι περίπου 20… Read More ›
Ένα σκίτσο για τον Αϊνστάιν και τη Γενική Σχετικότητα
Πριν από έναν αιώνα, τον Νοέμβριο του 1915, ο Albert Einstein δημοσίευσε την Γενική Θεωρία της Σχετικότητας. Η θεωρία-ορόσημο συνήθως παρουσιάζεται ως το έργο μιας και μοναδικής ιδιοφυίας, του Αϊνστάιν. Στην πραγματικότητα είχε πολύ μεγάλη βοήθεια από φίλους και συνεργάτες,… Read More ›
Ανακαλύφθηκαν πέντε νέα ισότοπα
Ερευνητές του LLNL (Lawrence Livermore National Laboratory) δημιούργησαν στο εργαστήριο τους πυρήνες: 216U, 219Np, 233Bk, 223Am και 229Am Η ανακάλυψη των νέων πυρήνων πραγματοποιήθηκε αυτό το φθινόπωρο στο εργαστήριο Lawrence του Livermore, στα πλαίσια της έρευνας που εστιάζει στην ανάπτυξη νέων… Read More ›
Τι θα συμβεί αν ένας ελέφαντας πέσει σε μια μαύρη τρύπα;
Η απάντηση του Gerard ’t Hooft στον Hawking σχετικά σχετικά με την απώλεια πληροφοριών από τις μαύρες τρύπες Αν κάποιο αντικείμενο, είτε πρόκειται για ένα iPhone είτε για ελέφαντα, πέσει μέσα σε μια μαύρη τρύπα μένει για πάντα εκεί. Ο υπόλοιπος κόσμος έξω… Read More ›
Αντιπαράθεση σχετικά με την απαλλαγή από το μάθημα της Φυσικής
«Για παραποίηση των λεγομένων της έκανε λόγο η αναπληρώτρια υπουργός Παιδείας Σία Αναγνωστοπούλου, αναφερόμενη στον «πόλεμο» που έχει ξεσπάσει μεταξύ της Ένωσης Ελλήνων Φυσικών (ΕΕΦ) και της ίδιας, σχετικά με την απαλλαγή από το μάθημα της Φυσικής Γενικής Παιδείας στη… Read More ›
Κίνηση κέρματος διαμέσου της 4ης διάστασης;
Ας υποθέσουμε την ύπαρξη δισδιάστατων όντων που ζουν πάνω σε μια δισδιάστατη επιφάνεια, μια «Επιπεδοχώρα» – σαν αυτή που περιγράφει στο μυθιστόρημα του ο Edwin Abbott. Τα όντα αυτά περνούν ολόκληρη τη ζωή τους αγνοώντας την τρίτη διάσταση, ας την ονομάσουμε ύψος, και αντιλαμβάνονται μόνο το… Read More ›
Στο νόμο της παγκόσμιας ούρησης το Ig Nobel φυσικής 2015
Για μια ακόμη χρονιά απονεμήθηκαν φέτος τα βραβεία «απίθανης επιστήμης» Ig, τα λεγόμενα και «Νόμπελ της τρελής επιστήμης», τα οποία αναδεικνύουν τις πιο αστείες, απρόβλεπτες ή και άχρηστες επιστημονικές ανακαλύψεις της χρονιάς. Με το Ig Nobel φυσικής 2015 βραβεύθηκαν οι… Read More ›
Ένα νοητικό πείραμα με «τίμιο» νόμισμα
(*)«Τίμιο» νόμισμα είναι αυτό που έχει πιθανότητα 50% να έρθει κορώνα και 50% πιθανότητα να έρθει γράμματα. Σε ένα καζίνο-υπνωτήριο παίζεται το εξής παιχνίδι με την χρήση ενός «τιμίου» νομίσματος: Ο παίκτης ρίχνει πολύ ψηλά το νόμισμα και στη συνέχεια… Read More ›
Η θεωρία των χορδών
Μουσική σύνθεση βασισμένη σε μια διάλεξη του Edward Witten H διάλεξη:
Καταργείται το μάθημα της Φυσικής στο Λύκειο
Η μέχρι τώρα ύλη διδασκαλίας του μαθήματος Φυσικής στο Λύκειο θα ενσωματωθεί στην διδασκαλία διαθεματικών (cross-subject) «φαινομένων» που απαιτούν συνδυαστικές γνώσεις και συνδέονται πιο άμεσα με την καθημερινότητα των μαθητών, σύμφωνα με το «διαθεματικό» σύστημα διδασκαλίας που εφαρμόζεται ήδη στην… Read More ›
Μια άλλη ερμηνεία της εξίσωσης E=mc^2
Διαβάστε σχετικά: Ποιος ανακάλυψε την εξίσωση Ε=mc2; … καθώς επίσης και το «φρεσκότατο» άρθρο: Why does Ε=mc2?
Πως αντιδρούν οι γάτες σε συνθήκες έλλειψης βαρύτητας;
Είναι γνωστό ότι με οποιοδήποτε τρόπο κι αν αφήσουμε μια γάτα να πέσει ελεύθερα από κάποιο ύψος, αυτή θα προσγειωθεί στα τέσσερα πόδια της (μελέτες σχετικά για την επιστημονική ερμηνεία του φαινομένου μπορείτε να βρείτε ΕΔΩ: Γατική Φυσική). Πως όμως… Read More ›
Βίντεο: οι φυσικοί είναι … γάτες
Στο βίντεο που ακολουθεί μιλάει ο Greg Rakness, φυσικός του UCLA:
Οι Simpsons υπολογίζουν την μάζα του μποζονίου Higgs
… και όχι μόνο Σε ένα επεισόδιο της σειράς κινουμένων σχεδίων «The Simpsons» και συγκεκριμένα στο επεισόδιο με τίτλο «The Wizard of Evergreen Terrace», ο Homer Simpson αποφασίζει να κάνει μεγάλες ανακαλύψεις ακολουθώντας τα βήματα του μεγάλου εφευρέτη Endison. Στο επεισόδιο αυτό… Read More ›
Τα ίχνη αρχαίων λιμνών και ποταμιών στον Άρη …
… και ο Sheldon Cooper Το διαστημικό ρόβερ Curiosity της NASA, που προσεδαφίστηκε στον πλανήτη Άρη τον Αύγουστο του 2012, συνεχίζει ακάθεκτο τις έρευνές του. Οι παρατηρήσεις του δείχνουν ότι το όρος Sharp δημιουργήθηκε από ιζήματα σε μια μεγάλη λίμνη πριν… Read More ›
Η εξίσωση του Σύμπαντος σε μια μόνο γραμμή
Οι φυσικοί έχουν βρει πολύ κομψούς και περιεκτικούς τρόπους για να γράφουν τις εξισώσεις τους. Για παράδειγμα, η εξίσωση της παρακάτω εικόνας περιέχει σχεδόν τα πάντα … πυρηνική φυσική, νέα σωματίδια, περίεργες συμπεριφορές, την προέλευση της μάζας: Ένα δεύτερο παράδειγμα είναι η… Read More ›
Ο ουρανός δεν πρόκειται να πέσει στο κεφάλι μας
Σταμάτησε το μοναδικό πρόγραμμα ανίχνευσης επικίνδυνων αστεροειδών στο νότιο ημισφαίριο Το μοναδικό πράγμα που φόβιζε τους Γαλάτες του Αστερίξ ήταν να μην πέσει ο ουρανός στο κεφάλι τους! Όμως σε σχέση με τον καιρό του Αστερίξ – 50 π.Χ. – ο πολιτισμός… Read More ›
Γιατί του το έδωσαν;
Ο Alfred Kastler (1902 – 1984) ήταν Γάλλος φυσικός που βραβεύθηκε με το Νόμπελ Φυσικής το 1966 … for the discovery and development of optical methods for studying Hertzian resonances in atoms. από το «Μαφάλντα 4» του Quino Διαβάστε επίσης: Kastler… Read More ›
H αληθινή ιστορία του φυσικού Stronzo Bestiale
Ο Stronzo Bestiale ένας φυσικός από το ινστιτούτο προχωρημένων σπουδών στο Παλέρμο της Σικελίας έκανε την εμφάνισή του ως συγγραφέας επιστημονικών άρθρων προς το τέλος της δεκαετίας του 1980, σε διάφορα επιστημονικά περιοδικά, όπως για παράδειγμα: Journal of Statistical Physics,… Read More ›
Τα βραβεία Ig Nobel 2014 …
… θα ανακοινωθούν την Πέμπτη 18 Σεπτεμβρίου Tα βραβεία Νόμπελ Ig απονέμονται σε «περίεργες» επιστημονικές εργασίες, που συνήθως θεωρούνται άχρηστες και αστείες. Πρόκειται για ανακαλύψεις που πρώτα κάνουν τους ανθρώπους να γελάσουν και στη συνέχεια να σκεφτούν: Παρακολουθείστε live την… Read More ›
Γιατί ο Hawking δηλώνει ότι το Higgs θα καταστρέψει το σύμπαν;
Η δημοσιογραφική κοινότητα αναστατώθηκε – μάλλον ευχάριστα – από τις καταστροφολογικές δήλωσεις του Steven Hawking κατά την παρουσίαση του βιβλίου «Starmus, 50 Years of Man in Space», σύμφωνα με τις οποίες «το σωματίδιο Higgs θα μπορούσε να καταστρέψει το σύμπαν μας». Αν αφήσουμε… Read More ›
Οι τρεις νόμοι του Ohm
O Frank Wilczek αναφέρει την παρακάτω ιστορία σχετικά με το νόμο του Ohm, στο βιβλίο του «Η ελαφρότητα του είναι«: «Λίγο πριν αρχίσω να διδάσκω στο πανεπιστήμιο του Πρίνστον, ο φίλος μου και μέντοράς μου Sam Treiman με κάλεσε στο γραφείο του. Ήθελε να… Read More ›
Κόκκαλα και νερά στην επιφάνεια του Άρη
Διαβάζει κανείς την είδηση «Το «Curiosity» βρήκε νερό μέσα στο έδαφος του Άρη» (βλέπε ΕΔΩ) και απλά του δημιουργείται μια αίσθηση déjà vu (theguardian.com) … αν και ψάχνοντας κανείς για μια πιο πρόσφατη ανακοίνωση της NASA δεν βρίσκει κάτι διαφωτιστικότερο. Αλλά εντάξει, αυτό είναι… Read More ›
Βίντεο: το τρέιλερ (!) μιας επιστημονικής δημοσίευσης …
… στο περιοδικό Physics Letters Το είδαμε κι αυτό. Σκηνές … από την προσεχή δημοσίευση της εργασίας των φυσικών Sergei V. Ketov και Takahiro Terada με τίτλο «Inflation in Supergravity with a Single Chiral Superfield«:
Αναβαθμίζεται το μάθημα της Φυσικής στα σχολεία;
Ευχάριστα νέα για το μάθημα της φυσικής από το Υπουργείο Παιδείας: «…Την αναβάθμιση του μαθήματος της φυσικής εξετάζει το υπουργείο Παιδείας, με ενδεχόμενη αύξηση των ωρών του μαθήματος στο Γυμνάσιο και στη Γ’ Λυκείου. Επίσης, μελετάται η εισαγωγή της φυσικής… Read More ›
Η σημασία του να είναι σήμερα κανείς φυσικός στην Ελλάδα
(Το άρθρο που ακολουθεί με τίτλο «Η σημασία του να είναι σήμερα κανείς φυσικός στην Ελλάδα» γράφτηκε στο περιοδικό «ο φυσικός κόσμος«, τεύχος 3, Ιανουάριος 1967 από τον «καθηγητή Ω» για την στήλη «Εμείς και οι μαθηταί μας») Πολλοί ρωτούν… Read More ›
Βίντεο: υπολογιστές που επικοινωνούν με σήματα καπνού!
Οι φοιτητες Niklas Isselburg και Jakob Kilian από το Köln International School of Design κατάφεραν να στείλουν μηνύματα από έναν υπολογιστή σε έναν άλλον χρησιμοποιώντας δαχτυλίδια καπνού: http://www.wired.com
Απλή και διασκεδαστική φυσική
Η φυσική των περιστροφικών αλμάτων του παιχνιδιού-καγκουρό Το παιχνίδι-καγκουρό, αφού κουρδιστεί, μόλις τοποθετηθεί σε ένα οριζόντιο επίπεδο αρχίζει να εκτελεί τούμπες προς τα πίσω. Οι J. Güémez και M Fiolhais ανέλυσαν την κίνηση του καγκουρό χρησιμοποιώντας τους νόμους της δυναμικής… Read More ›
Πλήξη στον Mεγάλο Eπιταχυντή Aδρονίων (LHC) …
… στο CERN, δυο χρόνια μετά την ανακάλυψη του μποζονίου Higgs … ένα χιουμοριστικό βίντεο από το «The Onion» … γιατί στην πραγματικότητα αυτή η εποχή είναι μια από τις πιο γόνιμες και συναρπαστικές ερευνητικές περιόδους, όπως μπορεί να διαπιστώσει κανείς ρίχνοντας… Read More ›
Η εξίσωση του Hawking για την κατάκτηση του Μουντιάλ
Τι άλλο απομένει να δούμε από τον Stephen Hawking; Αυτή τη φορά υπολoγίζει τις πιθανότητες κατάκτησης του παγκοσμίου κυπέλλου ποδοσφαίρου από την εθνική ομάδα της Αγγλίας. Σύμφωνα με τον Hawking στην ανάλυση υπεισέρχονται πάρα πολλοί παράγοντες και οι υπολογισμοί γίνονται εξαιρετικά περίπλοκοι, έτσι… Read More ›
Απλή φυσική
Jean-Jacques Sempé, The New Yorker – 2007
Έλληνες ερευνητές στο νότιο πόλο …
Θα ενταχθούν με την διαδικασία της κινητικότητας-διαθεσιμότητας στην ερευνητική ομάδα BICEP2 που ανακάλυψε τις αρχέγονες βαρυτικές διαταραχές Πρόκειται για μια από τις μεταρρυθμίσεις της «εργαλειοθήκης» του ΟΟΣΑ που έχει ως στόχο να φέρει την Ελλάδα στην πρώτη γραμμή της παγκόσμιας… Read More ›
Smartphones και μετρήσεις φυσικών μεγεθών …
Θα μπορούσε ο εξοπλισμός ενός εργαστηρίου φυσικής να αντικατασταθεί από «έξυπνα κινητά»; Όταν, τα «έξυπνά κινητά» , εκτός των άλλων εφαρμογών τους, μπορούμε να τα χρησιμοποιήσουμε π.χ. ως μικροσκόπια ή ως μετρητές ραδιενέργειας ή ως σεισμογράφους ή ακόμα για να «ψάξουμε» το σωματίδιο… Read More ›
Που θα πέσει ο δορυφόρος Kosmos-1220;
(νεώτερη ενημέρωση 17-2-2014) Ο ρωσικός δορυφόρος με το όνομα «Kosmos-1220» αναμένεται να χτυπήσει σήμερα τη Γη και οι πιθανότητες να πέσει σε κατοικημένη περιοχή δεν είναι μηδενικές. Ο δορυφόρος εκτοξεύθηκε στις 4 Νοεμβρίου του 1980 και είναι ανενεργός από το… Read More ›
Δυο τρόποι υπάρχουν για τα μαθηματικά
… και η τελευταία ερώτηση του τεστ http://math-fail.com/
Τα στάδια ανάπτυξης της νοημοσύνης
Πως ερμηνεύεται το παρακάτω φαινόμενο; Στο ερώτημα αυτό προσπαθούν να απαντήσουν πειραματικά οι μικροί ερευνητές στο βίντεο που ακολουθεί: Ο Jean Piaget χρησιμοποιεί το πρόβλημα της μετάδοσης της κίνησης – όταν μια σφαίρα προσπίπτει σε μια σειρά από ακίνητες σφαίρες… Read More ›
Σαν σήμερα γεννήθηκε ο Ισαάκ Νεύτων
Ο Ισαάκ Νεύτων γεννήθηκε το πρωί των Χριστουγέννων του 1642 στο αρχοντικό του Woolsthorpe κοντά στο χωριό Colsterworth, έντεκα χιλιόμετρα νότια του Grantham στο Lincolnshire. Καθώς ο Γαλιλαίος, στις ανακαλύψεις του οποίου έμελλε να στηριχθεί μεγάλο μέρος της επιστημονικής πορείας… Read More ›
Η αρχή του Μπρους Λη …
…. και το πρόβλημα της «φυσικότητας» ή αλλιώς της «λεπτής ρύθμισης» στη φυσική των υψηλών ενεργειών Όταν οι ελεύθερες παράμετροι ή οι φυσικές σταθερές που εμφανίζονται σε μια θεωρία λαμβάνουν σχετικές τιμές της «τάξης του 1», τότε λέμε ότι η… Read More ›
Xειρότερο και από τεστ Ρόρσαχ
O Richard Feynman, στο βιβλίο του «Σίγουρα θα αστειεύεστε, κύριε Φάινμαν», περιγράφει την εμπειρία του από την συμμετοχή του σε ένα συνέδριο στη Νέα Υόρκη με θέμα την «ηθική της ισότητας» ως εξής: (…) Πήγα στη συνάντηση γνωριμίας. Κάποιος σηκώθηκε… Read More ›
Πως νομίζεις ότι μετράμε την απόσταση Γης – Σελήνης;
Στην πρώτη Γυμνασίου για πρώτη φορά διδάσκεται φέτος το μάθημα της Φυσικής και το αντίστοιχο βιβλίο έχει τίτλο «H Φυσική με Πειράματα». Το πρώτο μάθημα αναφέρεται στις μετρήσεις μήκους και την μέση τιμή και μεταξύ άλλων ζητείται από τους μικρούς… Read More ›
Ο άνθρωπος μπορεί να περπατήσει στο νερό όπως ο Χριστός
… στην Σελήνη! Η ανακάλυψη αυτή βραβεύθηκε με το Ιg Nobel Φυσικής Ποιοι τιμήθηκαν με Ιg Nobel στη Χημεία, Βιολογία, Αστρονομία, Ιατρική κ.λπ (updated)) Όπως κάθε χρόνο, τα βραβεία Νόμπελ «παρωδία» Ig προηγούνται των κανονικών βραβείων. Πρόκειται για βραβεία που απονέμονται σε… Read More ›
Βάτραχος εκτοξεύεται από τη NASA …
… μαζί με το διαστημόπλοιο LADEE Πριν από λίγες ημέρες έγινε η εκτόξευση του LADEE (Lunar Atmosphere and Dust Environment Explorer) από το διαστημικό κέντρο της NASA στην ακτή της Βιρτζίνια. Η εκτόξευση έγινε χρησιμοποιώντας τον νέο τύπο πυραύλου Minotaur… Read More ›
Η μαθηματική απόδειξη της δημιουργίας του κόσμου …
… από τον Θεό ! Tα παλιά χρόνια … όταν ήμουν μαθητής στο γυμνάσιο, ο καθηγητής των Θρησκευτικών μας «απέδειξε» ότι ο Θεός δημιούργησε τον κόσμο ξεκινώντας από την εξίσωση: «Η εξίσωση αυτή ισχύει,» μας είπε, «διότι όταν ο παρονομαστής… Read More ›
Ένα τούβλο είναι ουσιώδες αντικείμενο;
Ο Richard Feynman θέτει φιλοσοφικά ερωτήματα Στο Scientific American δημοσιεύθηκε πριν από λίγες ημέρες ένα ενδιαφέρον άρθρο με τίτλο «Feynman on Biology« της Christina Agapakis. Και δεν θα μπορούσε βέβαια να μην αναφέρεται στις εμπειρίες που περιγράφει o Feynman, από την… Read More ›
Τα στοιχήματα του κ. Χόκινγκ
Τα στοιχήματα με επίκεντρο επιστημονικά ζητήματα έχουν εμφανιστεί εδώ και αιώνες, και σε ορισμένες περιπτώσεις έχουν βοηθήσει στη πρόοδο της επιστήμης. Το πρώτο διάσημο καταγεγραμμένο στοίχημα, έλαβε χώρα το 1684 όταν ο πασίγνωστος εκείνη την εποχή αρχιτέκτονας Christopher Wren, δήλωσε… Read More ›
Το άλφα βήτα και γάμμα της Μεγάλης Έκρηξης
Η πρώτη δημοσίευση για την αρχέγονη πυρηνοσύνθεση (νεώτερη ενημέρωση 1-4-2016) Τα δυο ισχυρότερα επιχειρήματα υπέρ της θεωρίας της Μεγάλης Έκρηξης είναι η παρατηρήσεις των αστρονόμων που αποδεικνύουν την διαστολή του Σύμπαντος (ο Edwin Hubble ήταν ο πρωτοπόρος) και η ανίχνευση… Read More ›
Tα παιδιά της οδού Πανισπέρνα
Το περασμένο Σαββατοκύριακο η ΕΡΤ (δεν την είχαν κλείσει ακόμα – δημιουργώντας μέσα σε μια νύχτα 2900 ανέργους …) πρόβαλλε ένα ντοκιμαντέρ σχετικά με τον μεγάλο πυρηνικό φυσικό Enrico Fermi. Στο ντοκιμαντέρ γινόταν αναφορά και στα «παιδιά της οδού Πανισπέρνα»,… Read More ›
Oι εγκέφαλοι Boltzmann, το πολυσύμπαν και η θεωρία των χορδών
Είναι γεγονός πως οι φυσικοί κατά καιρούς επεξεργάζονται περίεργες ιδέες, αλλά με την ιδέα των εγκεφάλων Boltzmann θα μπορούσε κάποιος να τους κατηγορήσει πως έχουν «ξεφύγει» τελείως. Όταν αναφερόμαστε σε «εγκέφαλο Boltzmann», εννοούμε έναν παρατηρητή που εμφανίζεται στο σύμπαν εξ… Read More ›
Τα ηλεκτροσόκ βελτιώνουν τις ικανότητες στα μαθηματικά
Επιστήμονες στη Βρετανία ανακάλυψαν μια μη επεμβατική μέθοδο ηλεκτρικής διέγερσης του εγκεφάλου, η οποία αυξάνει τις επιδόσεις στα μαθηματικά, ενώ η βελτίωση δεν είναι μόνο παροδική, αλλά φαίνεται πως μπορεί να κρατήσει έως και έξι μήνες. Παραμένει ακόμα άγνωστο αν… Read More ›
Βίντεο: η επιστήμη των γάτων
Διαβάστε επίσης: Γατική Φυσική
H σύλληψη του καθηγητή Higgs και άλλες ειδήσεις
1. Ο Peter Higgs συνελήφθη στην Αργεντινή Ο Peter Higgs συνελήφθη στο αεροδρόμιο του Μπουένος Άιρες καθώς επέστρεφε από ένα συμπόσιο προς τιμήν του στο Πανεπιστήμιο του Ροζάριο. Σύμφωνα με πληροφορίες, μετέφερε 1.25kg κοκαΐνης κρυμμένη σε βελούδινα μοντέλα στοιχειωδών σωματιδίων… Read More ›
Η αιώνια δυσπιστία απέναντι στην επιστήμη …
Από τον Ισοβίτη του Αρκά: «Ένα ποντίκι στη σούπα μου»
Ξεκινώντας το μάθημα της Κβαντικής Μηχανικής (;)
Με μουσικό υπόβαθρο Lil Wayne’s “Drop It Like It’s Hot”, ο καθηγητής Φυσικής Emlyn Hughes στο Πανεπιστήμιο Κολούμπια τρώει μια μπανάνα, γδύνεται (και στη συνέχεια ξαναντύνεται) μπροστά στα έκπληκτα μάτια των φοιτητών του, προβάλλει πλάνα από την πτώση των διδύμων πύργων… Read More ›
Πως οι αστροναύτες κόβουν τα νύχια τους στον ΔΔΣ
Η ζωή στο διάστημα δεν είναι εύκολη. Σε συνθήκες έλλειψης βαρύτητας, ακόμη και η βασική υγιεινή, όπως το κόψιμο των νυχιών, δεν είναι μια απλή υπόθεση. Ο αστροναύτης του Διεθνούς Διαστημικού Σταθμού Chris Hadfield, στο βίντεο που ακολουθεί, εξηγεί πως… Read More ›
21-12-12: η συντέλεια της ανθρώπινης βλακείας
http://youtu.be/MeKU0nwY91U Παρά τα αμέτρητα άρθρα που δημοσιεύθηκαν τα προηγούμενα χρόνια, παρά τα βίντεο και τις συνεντεύξεις από γνωστούς αστρονόμους, παρά τα νέα αρχαιολογικά ευρήματα , και την τεκμηριωμένη επιστημονική γνώση βασισμένη στους νόμους της Φυσικής … πολλοί άνθρωποι πιστεύουν ακόμα πως… Read More ›
Ζόμπι στον επιταχυντή του CERN (ολόκληρη η ταινία)
The LHC Zombie Movie Mια ομάδα υποψήφιων διδακτόρων στη φυσική των στοιχειωδών σωματιδίων γύρισε μια ταινία τρόμου … με ζόμπι. H ταινία διαδραματίζεται στον υπόγειο Mεγάλο Επιταχυντή Αδρονίων (LHC), κατά τη διάρκεια των πειραμάτων αναζήτησης του σωματιδίου Higgs ….. μετά… Read More ›
Έχω πάρει απ’ όλες τις θεωρίες και έφτιαξα μια δική μου
Θυμήθηκα το παραπάνω κόμικ του Αρκά όταν διάβαζα σήμερα ένα άρθρο με τίτλο «Σύντηξη στο σπίτι!» Το εν λόγω άρθρο αναβιώνει πάλι την ιστορία της σύντηξης νικελίου-υδρογόνου που ήρθε στη δημοσιότητα τον Μάρτιο του 2011 (;) με πρωταγωνιστή τον ιταλό… Read More ›
Φουντώνουν (για άλλη μια φορά) οι φήμες για ζωή στον Άρη
Μετά τη «διαρροή» του John Grotzinger, ενός από τους επιστήμονες της αποστολής Curiosity στον Άρη , ότι «συλλέχθηκαν συναρπαστικά δεδομένα από το μίνι χημικό εργαστήριο SAM του Curiosity, που θα γραφούν στα βιβλία ιστορίας» (διαβάστε σχετικά ΕΔΩ), άρχισαν προφανώς να οργιάζουν οι φήμες στο διαδίκτυο. … Read More ›
H εξίσωση της χαμογελαστής φάτσας
Από το αφιέρωμα του ιστοτόπου Wolfram Alpha στο Halloween
DECAY: Ζόμπι στον επιταχυντή του CERN
Mια ομάδα υποψήφιων διδακτόρων στη φυσική των στοιχειωδών σωματιδίων γύρισε μια ταινία τρόμου … με ζόμπι. H ταινία διαδραματίζεται στον υπόγειο Mεγάλο Επιταχυντή Αδρονίων (LHC), κατά τη διάρκεια των πειραμάτων αναζήτησης του σωματιδίου Higgs, μετά από κάποιο τρομερό λάθος(;). H… Read More ›
Απονεμήθηκε το Ιg Nobel Φυσικής
Η απονομή των κανονικών Νόμπελ θα γίνει στις αρχές Οκτωβρίου. Προηγούνται όμως τα βραβεία Νόμπελ «παρωδία» Ig. Πρόκειται για βραβεία που απονέμονται σε άχρηστες, αστείες και ασυνήθιστες επιστημονικές ιδέες και ανακαλύψεις. Έτσι το βραβείο Νόμπελ Ig Φυσικής απονεμήθηκε στους… Read More ›
Οι «Αναλώσιμοι 2», η εξίσωση του Einstein και ο Τσακ Νόρις
Στην ταινία «The Expendables 2 review» όπου πρωταγωνιστούν σχεδόν όλοι οι σκληροί της μεγάλης οθόνης, Σιλβέστερ Σταλόνε, Μπρους Γουίλις, Ζαν Κλοντ Βαν Νταμ, Ντολφ Λούντγκρεν, Τσακ Νόρις κ.ά, οι νόμοι της Φυσικής παραβιάζονται χωρίς έλεος από την αρχή μέχρι το… Read More ›
Το Curiosity άρχισε να ψάχνει στον Άρη
… για εξωγήινη ζωή Προς το παρόν δεν αναφέρθηκε κάτι σημαντικό … http://www.cartoonaday.com Προσεδαφίστηκε επιτυχώς στον Αρη το Curiosity Με επιτυχία προσεδαφίστηκε στις 08.30 το πρωί ώρα Ελλάδας στον Κόκκινο Πλανήτη το ενός τόνου ρομποτικό όχημα Curiosity (Περιέργεια) προκειμένουν να… Read More ›
Ω, γίνε καλό κορίτσι, φίλησέ με
… Oh, Be A Fine Girl, Kiss Me Με την παραπάνω φράση μια γενιά φοιτητών απομνημόνευαν στο μάθημα της Αστρονομίας τους φασματικούς τύπους των αστέρων κατά σειρά ελαττούμενης ενεργού θερμοκρασίας: Ο Β Α F G K M (Oh, Be A Fine… Read More ›
H-Day: Περιμένοντας το…μποζόνιο Χίγκς
(νεώτερη ενημέρωση 3-7-2012) Όργιο φημών και διαρροών Ενώ η αγωνία των φυσικών και όχι μόνο κορυφώνεται εν όψει των αναμενόμενων αυριανών ανακοινώσεων για το μποζόνιο Χιγκς ένα βίντεο που διέρρευσε για λίγο στην ιστοσελίδα του Ευρωπαϊκού Οργανισμού Ερευνών (CERN) εντείνει… Read More ›
Mετεωρίτης χτυπάει ταξί στο κέντρο του Λονδίνου
Στο βίντεο που ακολουθεί βλέπουμε στην καρδιά του Λονδίνου ένα ταξί που μόλις χτυπήθηκε από έναν μετεωρίτη… http://youtu.be/jSpG8Io9oUg Φυσικά δεν πρόκειται για πραγματικό περιστατικό,… αλλά για ένα σκηνοθετημένο γεγονός – διαφήμιση τηλεποπτικης εκπομπής. Όμως η αναπαάσταση δεν είναι ακριβής …… Read More ›
H Barbie επιστήμονας
Το βίντεο που ακολουθεί έχει τίτλο «Science: It’s a Girl Thing!» και δημιουργήθηκε από την Ευρωπαϊκή Ένωση για να προσελκύσει γυναίκες στην επιστήμη. Για τον ίδιο λόγο δημιουργήθηκε επίσης και ο ιστότοπος science-girl-thing.eu. Το βίντεο έχει ξεσηκώσει θύελλα αντιδράσεων για… Read More ›
Πράκτωρ Higgs
Όλος ο κόσμος γνωρίζει πλέον για το σωματίδιο Higgs και τις έρευνες που γίνονται γι αυτό στον Μεγάλο Επιταχυντή Αδρονίων (LHC) στο CERN και περιμένει με αγωνία 🙂 την οριστική ανακοίνωση για την ανακάλυψή του. Έτσι, μέχρι τώρα έχει κυκλοφορήσει… Read More ›
Μίκι Μάους στην επιφάνεια του Ερμή
48 εκατομμύρια μίλια μακριά από τη Γη, μια περίεργη διάταξη κρατήρων στην επιφάνεια του Ερμή μας θυμίζει τον Μίκι Μάους της Ντίσνευ.Η φωτογραφία αυτή είναι μια από τις χιλιάδες φωτογραφίες που πήρε το διαστημικό σκάφος Messenger που εξερευνά τον πλανήτη… Read More ›
Ίσως το πιο άχρηστο ρομπότ του κόσμου
Κινέζοι ερευνητές παρουσίασαν το Clothbot, ένα μικρό ρομποτάκι με μοναδικές ικανότητες. Το Clothbot γαντζώνεται πάνω στα ρούχα και μπορεί να σκαρφαλώνει πάνω στον άνθρωπο. Εχει ειδικό μηχανισμό ώστε να προσαρμόζει το κέντρο της βαρύτητας του ώστε να αλλάζει κινείται προς… Read More ›
To κύκλωμα του Άμλετ
To be, or not to be, that is the question …
Γιατί χύνεται ο καφές όταν περπατάμε: η ερμηνεία της φυσικής
Μια δυνατή υποψηφιότητα για το βραβείο Ig Nobel Φυσικής αποτελεί η έρευνα του μηχανολόγου μηχανικού του πανεπιστημίου της Καλιφόρνιας Rouslan Krechetnikov και του μεταπτυχιακού φοιτητή Hans Mayer. Οι δυο ερευνητές αποφάσισαν να μελετήσουν τις αναταραχές του καφέ σε μια κούπα, όταν… Read More ›
Εκλογές με…πανσέληνο, παλίρροιες και διάττοντες αστέρες
Κάλπες με πανσέληνο, ένταση παλιρροιών και «σβήσιμο» διαττόντων αστέρων. Το πιο μεγάλο φεγγάρι του έτους θα λάμπει στον ουρανό το βράδυ της 5ης και 6ης Μαΐου, καθώς θα συμπέσουν δύο αστρονομικά φαινόμενα: θα υπάρχει πανσέληνος και, ταυτόχρονα, η Σελήνη θα… Read More ›
O Sheldon Cooper συναντά τον Stephen Hawking
Όπως είχε προαναγγελθεί ο Stephen Hawking εμφανίστηκε σε επεισόδιο της χιουμοριστικής τηλεοπτικής σειράς «The Big Bang Τheory». Ενώ ο Howard επιλέγεται ως μηχανικός για να βοηθήσει στη βελτίωση του αναπηρικού οχήματος του Hawking ο Sheldon βγαίνει εκτός εαυτού από τη ζήλια του…. Read More ›